El concepto de base es uno de los mas importantes en álgebra lineal. Básicamente una base es un subconjunto de elementos de nuestro espacio vectorial con la cual podemos expresar todos los vectores en términos de estos.Primero recordemos que tres vectores
,
y
son linealmente independientes en el espacio si uno de ellos no se puede escribir como combinación lineal de los otros dos. Esto implica que los tres vectores tienen distinta dirección.Además los tres vectores
,
y
generan todo el espacio si un vector
cualquiera se puede escribir como combinación lineal de
,
y
, es decir,
donde
,
y
son números reales.
Finalmente, definimos una base del espacio como un conjunto de tres elementos
,
y
tal que ellos son linealmente independientes y que generan todo el espacio.
El ejemplo más destacado de una base de tres vectores es la base canónica, que consiste de los siguientes tres vectores:
De esta forma las coordenadas de un vector cualquiera
son las siguientes
Base ortogonal
Una base de vectores
,
y
es ortogonal si los vectores de la base son perpendiculares entre sí, es decir,
donde
representa el producto interno.
La base canónica es una base ortogonal, ya que sus elemento son perpendiculares entre si.
Base ortonormal
Una base es ortonormal si los vectores de la base son perpendiculares entre sí, y además tienen módulo 1, es decir,
De nuevo podemos decir que la base canónica es ortonormal ya que
Ejemplos de bases ortogonal y ortonormal
1 Dados los vectores
,
y
, demostrar que dichos vectores forman una base y calcula las coordenadas del vector
respecto de dicha base.
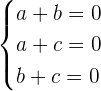
Debemos ver que estos vectores son linealmente, entonces planteamos la siguiente ecuación
De esto obtenemos el siguiente sistema de ecuaciones,
Para saber cuantas soluciones tiene este sistema debemos calcular su determinante, si este es distinto de cero entonces solo tenemos la solución trivial
,
El sistema homogéneo sólo admite la solución trivial:
Por tanto, los tres vectores son linealmente independientes y forman una base.
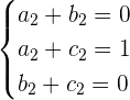
Ahora buscaremos las coordenadas del vector
con respecto a nuestra base. Para esto planteamos las siguiente ecuación con
,
y
número reales,
De esto obtenemos el siguiente sistema de ecuaciones del cual obtendremos las solucione para
,
y
que representan las coordenadas que buscamos
Por inspección obtenemos que
, luego
lo cual implica que
y que
así
Por lo tanto las coordenadas de
en nuestra base son 
2 Dados los vectores: 
A Demostrar que forman una base.
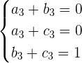
Los tres vectores forman una base si son linealmente independientes. Para ver esto planteamos la siguiente ecuación y sistema
De esto obtenemos el siguiente sistema de ecuaciones,
Para saber cuantas soluciones tiene este sistema debemos calcular su determinante, si este es distinto de cero entonces solo tenemos la solución trivial
,
El sistema homogéneo sólo admite la solución trivial:
Por tanto, los tres vectores son linealmente independientes y forman una base.
B Hallar las coordenadas de los vectores de la base canónica respecto de esta base.
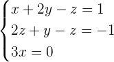
Para resolver esto debemos plantear las siguientes tres ecuaciones
Y hallar los valores para cada
,
y
, los cuales son los que determinan las coordenadas para los vectores de la base canónica. Empezamos por la primera ecuación, de la cual obtenemos el siguiente sistema de ecuaciones
Por inspección tenemos que
entonces
Y por tanto
Así que las coordenadas del vector
son
De la segunda ecuación, obtenemos el siguiente sistema de ecuaciones
Por inspección tenemos que
entonces
Y por tanto
Así que las coordenadas del vector
son
De la ultima ecuación, obtenemos el siguiente sistema de ecuaciones
Por inspección tenemos que
entonces
Y por tanto
Así que las coordenadas del vector
son 
C Calcular el valor de
para que los vectores
,
y
formen una base.
Debemos ver que estos vectores son linealmente independientes. Esto lo comprobamos calculando el determinantes de la matriz formada por ellos. Si el determinante es no nulo entonces ellos son linealmente independientes,
Este determinante es no cero si y solo si
, es decir,
Por lo tanto concluimos que si
, los vectores forman una base.
¿Buscas clases de profe mates? Superprof es tu sitio.
Resumir con IA:









Apuntes es una plataforma dirigida al estudio y la práctica de las matemáticas a través de la teoría y ejercicios interactivos que ponemos a vuestra disposición. Esta información está disponible para todo aquel/aquella que quiera profundizar en el aprendizaje de esta ciencia. Será un placer ayudaros en caso de que tengáis dudas frente algún problema, sin embargo, no realizamos un ejercicio que nos presentéis de 0 sin que hayáis si quiera intentado resolverlo. Ánimo, todo esfuerzo tiene su recompensa.
Suma de vectores f1=450n,30. 1FR=f1+f6
como sacar el residuo de una multiplicación
Hallar las coordenadas de punto medio del segmento que une (4,7);(14,12)
Hola, podrias mencionar que tipo de multiplicación (normal, de vectores etc.).
si se aplica una traslación al punto E(0;2) se obtiene el punto E'(-1;-5),indicar el vector de translación
Traslaciones Juan es un diseñador gráfico y de acuerdo con las exigencias de uno de sus clientes debe reorganizar los elementos de uno de los avisos publicitarios observemos en la ilustración los cambios y desplazamientos que realizo.
En la ilustración el barco se trasladó dos unidades hacia arriba.
Una traslación es el desplazamiento de una figura sobre un plano sin girarla en ninguna dirección para indicar una traslación usamos una flecha que muestra el sentido hacia donde se hace el movimiento:
Derecha , izquierda, arriba, abajo, occidente, Oriente, Norte o sur) y la magnitud (número de unidades que se mueve la figura).
En el aviso publicitario,? Cuál de los siguientes desplazamientos se realizó con el logo del pez? Márcalo con x
Vectores 400n+horizontal y a la izquierda