¡Bienvenido a nuestra página dedicada a ejercicios de vectores! Si alguna vez te has preguntado cómo representar magnitudes y direcciones en el espacio de una manera precisa y poderosa, estás en el lugar adecuado. Los vectores son herramientas matemáticas esenciales que se utilizan en una amplia gama de campos, desde la física y la ingeniería hasta la informática y la economía.
En este artículo, te sumergirás en el emocionante universo de los vectores, explorando ejercicios y problemas que te ayudarán a comprender su naturaleza y aplicaciones. Te guiaremos a través de ejercicios paso a paso, ejemplos prácticos y consejos útiles para que puedas dominar los vectores con confianza. ¡Prepárate para desatar tu potencial y convertirte en todo un experto en vectores!
Hallar el simétrico del punto
respecto de
.
Buscamos el punto
simétrico al punto A respecto a M, por lo que se debe cumplir que
entonces
es decir,
Por tanto,
.
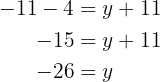
Hallar el simétrico del punto
respecto de
.
Buscamos el punto
simétrico al punto B respecto a M, por lo que se debe cumplir que
es decir
por lo que
y
y de aqui concluimos que

Dados dos vértices de un triángulo
y el baricentro
, calcular el tercer vértice.
Denotemos las coordenadas del tercer vertice
como
.
Recordando que las coordenadas del baricentro de un triángulo con vértices
y
son
Entonces el baricentro se calcula utilizando
Pero también tenemos que
, por lo que

Multiplicando por 3, obtenemos

De aquí se sigue que
y
. Por lo tanto, el vértice
es

Sean
y
los vértices de un triángulo en el espacio. Determina las coordenadas de su baricentro.
Recordando que las coordenadas del baricentro de un triangulo en el espacio con vértices
y
son
entonces as coordenadas del baricentro de nuestro triángulo son
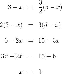
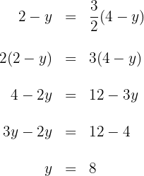
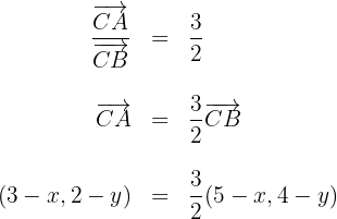
Dados los puntos
y
halla un punto C, alineado con A y B, de manera que se obtenga
.
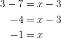
Puesto que se debe cumplir que
, entonces
Igualamos ambas expresiones coordenada a coordenada y obtenemos

Resolvemos ambas ecuaciones para obtener las coordenadas de 


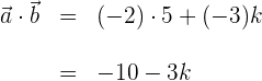
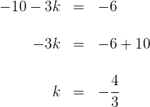
Calcular el valor de
sabiendo que
y 
Calculamos el producto de vectores

Igualamos el resultado a
y resolvemos para 

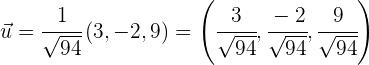
Hallar un vector unitario de la misma dirección que el vector
.
Podemos encontrar un vector unitaria en la misma dirección utilizando la formula
. Utiliando la formula anterior, procedemos a encontrar la magnitud del vector 
Sustituimos en la fórmula de vector unitario y obtenemos
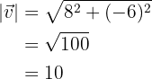
Si
, hallar un vector unitario de su misma dirección y sentido.
Encontramos pirmero la magnitud del vector
entonces el vector buscado será
Determina si los vectores
y
son ortogonales.
Recordemos que, dos vectores son ortogonales si y solo si su producto escalar es igual a cero. Es decir, si
y
son dos vectores, entonces son ortogonales si y solo si

Así,

Por lo tanto, los vectores son ortogonales.
Determina si los vectores
y
son paralelos.
Recordemos que, dos vectores son paralelos si y solo si todas sus coordenadas son proporcionales. Es decir, si
y
son dos vectores, entonces son paralelos si y solo si

Así,

Por lo tanto, los vectores no son paralelos ya que
.
Resumir con IA:

Apuntes es una plataforma dirigida al estudio y la práctica de las matemáticas a través de la teoría y ejercicios interactivos que ponemos a vuestra disposición. Esta información está disponible para todo aquel/aquella que quiera profundizar en el aprendizaje de esta ciencia. Será un placer ayudaros en caso de que tengáis dudas frente algún problema, sin embargo, no realizamos un ejercicio que nos presentéis de 0 sin que hayáis si quiera intentado resolverlo. Ánimo, todo esfuerzo tiene su recompensa.
Suma de vectores f1=450n,30. 1FR=f1+f6
como sacar el residuo de una multiplicación
Hallar las coordenadas de punto medio del segmento que une (4,7);(14,12)
Hola, podrias mencionar que tipo de multiplicación (normal, de vectores etc.).
si se aplica una traslación al punto E(0;2) se obtiene el punto E'(-1;-5),indicar el vector de translación
Traslaciones Juan es un diseñador gráfico y de acuerdo con las exigencias de uno de sus clientes debe reorganizar los elementos de uno de los avisos publicitarios observemos en la ilustración los cambios y desplazamientos que realizo.
En la ilustración el barco se trasladó dos unidades hacia arriba.
Una traslación es el desplazamiento de una figura sobre un plano sin girarla en ninguna dirección para indicar una traslación usamos una flecha que muestra el sentido hacia donde se hace el movimiento:
Derecha , izquierda, arriba, abajo, occidente, Oriente, Norte o sur) y la magnitud (número de unidades que se mueve la figura).
En el aviso publicitario,? Cuál de los siguientes desplazamientos se realizó con el logo del pez? Márcalo con x
Vectores 400n+horizontal y a la izquierda