Fórmula del ángulo entre dos vectores
El ángulo que forman dos vectores
y
viene dado por la expresión:

La expresión en función de sus coordenadas es

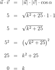
Ejemplo: Hallar el ángulo comprendido entre los vectores
y 
1Para emplear la fórmula que permite encontrar el ángulo comprendido entre dos vectores, primero calculamos el producto de los dos vectores

2Calculamos la magnitud del primer vector

3Calculamos la magnitud del segundo vector

4Sustituimos los valores previamente obtenidos, en la fórmula del ángulo
entre dos vectores

5El valor
que satisface la igualdad anterior es 
Ejercicios propuestos
Calcular el producto escalar y el ángulo que forman los vectores
.
1Para emplear la fórmula que permite encontrar el ángulo comprendido entre dos vectores, primero calculamos el producto de los dos vectores

2Calculamos la magnitud del primer vector

3Calculamos la magnitud del segundo vector

4Sustituimos los valores previamente obtenidos, en la fórmula del ángulo
entre dos vectores

5El valor
que satisface la igualdad anterior es 
Calcular el producto escalar y el ángulo que forman los vectores
.
1Para emplear la fórmula que permite encontrar el ángulo comprendido entre dos vectores, primero calculamos el producto de los dos vectores

2Calculamos la magnitud del primer vector

3Calculamos la magnitud del segundo vector

4Sustituimos los valores previamente obtenidos, en la fórmula del ángulo
entre dos vectores

5El valor
que satisface la igualdad anterior es 
Calcular el producto escalar y el ángulo que forman los vectores
.
1Para emplear la fórmula que permite encontrar el ángulo comprendido entre dos vectores, primero calculamos el producto de los dos vectores

2Calculamos la magnitud del primer vector

3Calculamos la magnitud del segundo vector

4Sustituimos los valores previamente obtenidos, en la fórmula del ángulo
entre dos vectores

5El valor
que satisface la igualdad anterior es 
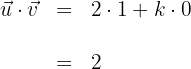
Dados los vectores
, calcula
para que los vectores
y
sean perpendiculares.
1A partir de la fórmula del ángulo entre dos vectores, se obtiene

2Calculamos el producto interno de los vectores

3Dos vectores son perpendiculares si el ángulo entre ellos es de
; el coseno de este ángulo es cero
4Calculamos la magnitud del primer vector

5Calculamos la magnitud del segundo vector

6Sustituimos en la fórmula inicial los valores previamente obtenidos y resolvemos para 

Así, el valor buscado es 
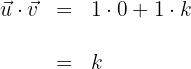
Dados los vectores
, calcula
para que los vectores
y
sean paralelos.
1A partir de la fórmula del ángulo entre dos vectores, se obtiene

2Calculamos el producto interno de los vectores

3Dos vectores son paralelos si el ángulo entre ellos es de
; el coseno de este ángulo es uno
4Calculamos la magnitud del primer vector

5Calculamos la magnitud del segundo vector

6Sustituimos en la fórmula inicial los valores previamente obtenidos y resolvemos para 

Así, el valor buscado es 
Otra forma de resolver el ejercicio es considerar la proporcionalidad de sus componentes

Dado el vector
, calcula
para que
sea paralelo al eje
.
1A partir de la fórmula del ángulo entre dos vectores, se obtiene

2Calculamos el producto interno del vector
con el eje
que representamos con el vector 

3Dos vectores son paralelos si el ángulo entre ellos es de
; el coseno de este ángulo es uno
4Calculamos la magnitud del primer vector

5Calculamos la magnitud del segundo vector

6Sustituimos en la fórmula inicial los valores previamente obtenidos y resolvemos para 

Así, el valor buscado es 
Otra forma de resolver el ejercicio es considerar la proporcionalidad de sus componentes

Dado el vector
, calcula
para que
sea paralelo al eje
.
1A partir de la fórmula del ángulo entre dos vectores, se obtiene

2Calculamos el producto interno del vector
con el eje
que representamos con el vector 

3Dos vectores son paralelos si el ángulo entre ellos es de
; el coseno de este ángulo es uno
4Calculamos la magnitud del primer vector

5Calculamos la magnitud del segundo vector

6Sustituimos en la fórmula inicial los valores previamente obtenidos y resolvemos para 

Así, el valor buscado es 
Otra forma de resolver el ejercicio es considerar la proporcionalidad de sus componentes

Dados los vectores
, calcula
para que los vectores
y
formen un ángulo de
.
1A partir de la fórmula del ángulo entre dos vectores, se obtiene

2Calculamos el producto interno de los vectores

3El ángulo entre lo dos vectores es de
; el coseno de este ángulo es

4Calculamos la magnitud del primer vector

5Calculamos la magnitud del segundo vector

6Sustituimos en la fórmula inicial los valores previamente obtenidos y resolvemos para 

7Resolvemos empleando la fórmula para encontrar las raíces de la ecuación de segundo grado

Las raíces son
, pero solamente
es solución de
, ya que tuvimos que elevar al cuadrado para obtener las soluciones. Así, el valor buscado es
.
Hallar
si el ángulo que forman
y
vale
.
1A partir de la fórmula del ángulo entre dos vectores, se obtiene

2Calculamos el producto interno de los vectores

3El coseno de
es cero
4Calculamos la magnitud del primer vector

5Calculamos la magnitud del segundo vector

6Sustituimos en la fórmula inicial los valores previamente obtenidos y resolvemos para 

Así, el valor buscado es 
Hallar
si el ángulo que forman
y
vale
.
1A partir de la fórmula del ángulo entre dos vectores, se obtiene

2Calculamos el producto interno de los vectores

3El coseno de
es uno
4Calculamos la magnitud del primer vector

5Calculamos la magnitud del segundo vector

6Sustituimos en la fórmula inicial los valores previamente obtenidos y resolvemos para 

Así, el valor buscado es 
Hallar
si el ángulo que forman
y
vale
.
1A partir de la fórmula del ángulo entre dos vectores, se obtiene

2Calculamos el producto interno de los vectores

3El ángulo entre lo dos vectores es de
; el coseno de este ángulo es

4Calculamos la magnitud del primer vector

5Calculamos la magnitud del segundo vector

6Sustituimos en la fórmula inicial los valores previamente obtenidos y resolvemos para 

Las raíces son 
Hallar
si el ángulo que forman
y el eje
vale
.
1Consideramos el eje x con el vector
. A partir de la fórmula del ángulo entre dos vectores, se obtiene

2Calculamos el producto interno de los vectores

3El ángulo entre lo dos vectores es de
; el coseno de este ángulo es

4Calculamos la magnitud del primer vector

5Calculamos la magnitud del segundo vector

6Sustituimos en la fórmula inicial los valores previamente obtenidos y resolvemos para 

Las raíces son 
Hallar
si el ángulo que forman
y el eje
vale
.
1Consideramos el eje y con el vector
. A partir de la fórmula del ángulo entre dos vectores, se obtiene

2Calculamos el producto interno de los vectores

3El ángulo entre lo dos vectores es de
; el coseno de este ángulo es

4Calculamos la magnitud del primer vector

5Calculamos la magnitud del segundo vector

6Sustituimos en la fórmula inicial los valores previamente obtenidos y resolvemos para 

Las raíces son 
Comprobar que el segmento de une los puntos medios de los lados
y
del triángulo:
, es paralelo al lado
e igual a su mitad.
1Representamos gráficamente

2Calculamos el punto medio del lado 

3Calculamos el punto medio del lado 

4Calculamos el vector 

5Calculamos el vector 

6Calculamos la magnitud del primer vector

7Calculamos la magnitud del segundo vector

8Para verificar si los dos vectores son paralelos, verificamos la proporcionalidad de sus componentes

Como sus componentes son proporcionales, entonces los vectores son paralelos
Calcular los ángulos del triángulo de vértices:
.
1Representamos gráficamente

2Calculamos el vector 

3Calculamos el vector 

4Calculamos la magnitud de 

5Calculamos la magnitud de 

6Calculamos el producto interno de ambos vectores

7Sustituimos los valores previamente obtenidos, en la fórmula del ángulo
entre dos vectores

El valor
corresondiente al vértice
que satisface la igualdad anterior es 
8Calculamos el vector 

9Calculamos el vector 

10Calculamos la magnitud de 

11Calculamos la magnitud de 

12Calculamos el producto interno de ambos vectores

13Sustituimos los valores previamente obtenidos, en la fórmula del ángulo
entre dos vectores

El valor
corresondiente al vértice
que satisface la igualdad anterior es 
14Como la suma de os ángulos interiores de un triángulo es
, entonces el ángulo
correspondiente al vértice
es

¿Y si pruebas nuestras clases particulares de matematicas?
Resumir con IA:









Apuntes es una plataforma dirigida al estudio y la práctica de las matemáticas a través de la teoría y ejercicios interactivos que ponemos a vuestra disposición. Esta información está disponible para todo aquel/aquella que quiera profundizar en el aprendizaje de esta ciencia. Será un placer ayudaros en caso de que tengáis dudas frente algún problema, sin embargo, no realizamos un ejercicio que nos presentéis de 0 sin que hayáis si quiera intentado resolverlo. Ánimo, todo esfuerzo tiene su recompensa.
Suma de vectores f1=450n,30. 1FR=f1+f6
como sacar el residuo de una multiplicación
Hallar las coordenadas de punto medio del segmento que une (4,7);(14,12)
Hola, podrias mencionar que tipo de multiplicación (normal, de vectores etc.).
si se aplica una traslación al punto E(0;2) se obtiene el punto E'(-1;-5),indicar el vector de translación
Traslaciones Juan es un diseñador gráfico y de acuerdo con las exigencias de uno de sus clientes debe reorganizar los elementos de uno de los avisos publicitarios observemos en la ilustración los cambios y desplazamientos que realizo.
En la ilustración el barco se trasladó dos unidades hacia arriba.
Una traslación es el desplazamiento de una figura sobre un plano sin girarla en ninguna dirección para indicar una traslación usamos una flecha que muestra el sentido hacia donde se hace el movimiento:
Derecha , izquierda, arriba, abajo, occidente, Oriente, Norte o sur) y la magnitud (número de unidades que se mueve la figura).
En el aviso publicitario,? Cuál de los siguientes desplazamientos se realizó con el logo del pez? Márcalo con x
Vectores 400n+horizontal y a la izquierda