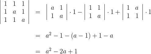
Dados los vectores
hallar:
a
,
b
,
c
,
d
,
e
,
1Calculamos los productos internos


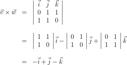
2Calculamos los productos vectoriales empleando la definición y resolvemos el determinante de
que se obtiene 

3Calculamos el producto
, para ello consideramos el producto vectorial resuelto en 2 
Realizamos el producto interno con 

4Calculamos las magnitudes de los vectores 


5Calculamos el coseno del ángulo formado por los vectores 

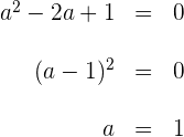
¿Para qué valores de
los vectores
forman una base?
1Calculamos el determinante formado por los tres vectores

2Si el determinante se anula, entonces los vectores no forman una base. Calculamos los valores de
donde el tereminante es cero 
Los valores donde el determinante se anula es 
3Así, los vectores forman una base cuando

Determinar el valor del parámetro
para que los vectores 
sean:
a Ortogonales,
b Paralelos
1Para que los vectores sean ortogonales su producto escalar tiene que ser igual a cero

Luego los vectores son ortogonales si 
2Para qué dos vectores sean paralelos, sus componentes tienen que ser proporcionales 
Se obtiene el sistema
el cual no tiene solución, por tanto los vectores no son paralelos para cualquier valor de

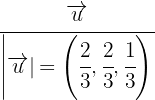
Hallar los cosenos directores del vector
.
1Los cosenos directores corresponden a las coordenadas del vector unitario

2Calculamos la magnitud de 
el vector unitario es

3 Los cosenos directores son

Hallar el ángulo que forman los vectores
y 
1Calculamos el coseno del ángulo formado por los dos vectores

2Calculamos el valor 

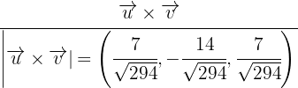
Dados los vectores
hallar:
a los módulos de
,
b El producto vectorial de
y
,
c Un vector ortogonal unitario a
y
,
d El área del paralelogramos que tiene por lados
y
,
1Calculamos las magnitudes de los vectores 

2Calculamos el producto vectorial empleando la definición y resolvemos el determinante de
que se obtiene 
3Sabemos que
es ortogonal a
y
.
Un vector ortogonal unitario es 
Calculamos el módulo de 

El vector unitario requerido es 
4El área del paralelogramo que tiene por lados
, viene dado por el módulo de
, luego el área es de

Calcular el producto mixto
para
.
1Calculamos los productos vectoriales empleando la definición y resolvemos los determinantes de
que se obtienen



2Realizamos el producto vectorial de los elementos de la derecha

3Calculamos el producto interno del resultado anterior con 

Así, 
Dados los vectores
, hallar el producto mixto
.
¿Cuánto vale el volumen del paralelepípedo que tiene por aristas los vectores dados?
1Calculamos el determinante de
cuyas filas están formadas por los vectores

2Como el volumen coincide con el producto mixto, el volumen es

Resumir con IA:

Apuntes es una plataforma dirigida al estudio y la práctica de las matemáticas a través de la teoría y ejercicios interactivos que ponemos a vuestra disposición. Esta información está disponible para todo aquel/aquella que quiera profundizar en el aprendizaje de esta ciencia. Será un placer ayudaros en caso de que tengáis dudas frente algún problema, sin embargo, no realizamos un ejercicio que nos presentéis de 0 sin que hayáis si quiera intentado resolverlo. Ánimo, todo esfuerzo tiene su recompensa.
Suma de vectores f1=450n,30. 1FR=f1+f6
como sacar el residuo de una multiplicación
Hallar las coordenadas de punto medio del segmento que une (4,7);(14,12)
Hola, podrias mencionar que tipo de multiplicación (normal, de vectores etc.).
si se aplica una traslación al punto E(0;2) se obtiene el punto E'(-1;-5),indicar el vector de translación
Traslaciones Juan es un diseñador gráfico y de acuerdo con las exigencias de uno de sus clientes debe reorganizar los elementos de uno de los avisos publicitarios observemos en la ilustración los cambios y desplazamientos que realizo.
En la ilustración el barco se trasladó dos unidades hacia arriba.
Una traslación es el desplazamiento de una figura sobre un plano sin girarla en ninguna dirección para indicar una traslación usamos una flecha que muestra el sentido hacia donde se hace el movimiento:
Derecha , izquierda, arriba, abajo, occidente, Oriente, Norte o sur) y la magnitud (número de unidades que se mueve la figura).
En el aviso publicitario,? Cuál de los siguientes desplazamientos se realizó con el logo del pez? Márcalo con x
Vectores 400n+horizontal y a la izquierda