Capítulos
En este artículo continuaremos nuestra discusión sobre el producto escalar y veremos una serie de ejemplos diversos ejemplificando lo estudiado. ( Sugerencia : ver primero Producto escalar de dos vectores)
El producto escalar y sus propiedades
Recordemos que existen dos maneras equivalentes de obtener el producto escalar de dos vectores
y
:
1. Si conocemos las componentes de los vectores
y
, entonces el producto escalar está dado por 
2. Si conocemos el módulo de ambos vectores y el ángulo
que forman entre ellos, entonces el producto escalar se obtiene mediante

donde el módulo de un vector cualquiera
es 
y donde el ángulo puede ser calculado haciendo 
También recordemos que el producto escalar satisface las siguientes propiedades:
1. Es definido positivo. Es decir, el producto escalar de un vector no nulo por sí mismo siempre es positivo.
2. El producto escalar es conmutativo. Esto es, no importa en qué orden se multiplican los vectores. 
3. Asociatividad respecto a la multiplicación por escalar. Es decir, si multiplicamos
por
y luego por un escalar
, entonce el resultado es lo mismo que realizar primero
y luego haver el producto escalar por
.

4. Es distributivo respecto a la suma. Esto es,

Aplicaremos estas propiedades del producto escalar para resolver lo siguiente.
Ejemplos sobre el cálculo del producto escalar de vectores
1.Si
, calcular
.
Solución:
Calculamos el producto escalar usando la forma (1):

2.Si
y
, calcular 
Solución:
Dado que conocemos las componentes de los vectores, entonces aplicamos la forma(1) para calcular el producto escalar: 
3.Si
y
calcular
.
Solución:
Para resolver esto, aplicamos la propiedad (3) del producto escalar:

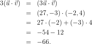
4.Si
y
, calcular
.
Solución:
Nuevamente, usando la forma (1) obtenemos:

5.Si
y
calcular 
Solución:
Para resolver esto, usamos la propiedad (4) del producto escalar:

5.Si
y
, calcular 
Solución:
Ya que conocemos los módulos de los vectores y el ángulo que se forma entre ellos, entonces utilizamos las segunda forma para calcular el producto escalar como sigue

6.Si
,
y
, calcular
usando el segundo método.
Solución:
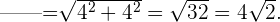
Para utlizar el segundo método debemos primero calcular la magnitud de los vectores. Así entonces tenemos que
- La magnitud de
es 
- La magnitud de
es

Por lo tanto obtenemos que

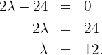
7.Si
y
, encontrar
tal que
y
sean ortogonales.
Solución
Recordemos que, dos vectores son ortogonales si su producto escalar es igual a
. Así, tenemos que resolver

Por lo tanto 
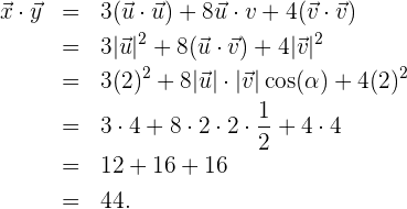
8.Sea
una base de los vectores del plano tal que
y
Sean
e
. Calcular 
Solución:
Usando las propiedades del producto escalar tenemos que

donde la segunda igualdad se sigue por la propiedad distributiva y la última igualdad por la propiedad conmutativa del producto escalar. Luego, usando que, para cualquier vector
,

obtenemos que

Por lo tanto 
Resumir con IA:









Apuntes es una plataforma dirigida al estudio y la práctica de las matemáticas a través de la teoría y ejercicios interactivos que ponemos a vuestra disposición. Esta información está disponible para todo aquel/aquella que quiera profundizar en el aprendizaje de esta ciencia. Será un placer ayudaros en caso de que tengáis dudas frente algún problema, sin embargo, no realizamos un ejercicio que nos presentéis de 0 sin que hayáis si quiera intentado resolverlo. Ánimo, todo esfuerzo tiene su recompensa.
Suma de vectores f1=450n,30. 1FR=f1+f6
como sacar el residuo de una multiplicación
Hallar las coordenadas de punto medio del segmento que une (4,7);(14,12)
Hola, podrias mencionar que tipo de multiplicación (normal, de vectores etc.).
si se aplica una traslación al punto E(0;2) se obtiene el punto E'(-1;-5),indicar el vector de translación
Traslaciones Juan es un diseñador gráfico y de acuerdo con las exigencias de uno de sus clientes debe reorganizar los elementos de uno de los avisos publicitarios observemos en la ilustración los cambios y desplazamientos que realizo.
En la ilustración el barco se trasladó dos unidades hacia arriba.
Una traslación es el desplazamiento de una figura sobre un plano sin girarla en ninguna dirección para indicar una traslación usamos una flecha que muestra el sentido hacia donde se hace el movimiento:
Derecha , izquierda, arriba, abajo, occidente, Oriente, Norte o sur) y la magnitud (número de unidades que se mueve la figura).
En el aviso publicitario,? Cuál de los siguientes desplazamientos se realizó con el logo del pez? Márcalo con x
Vectores 400n+horizontal y a la izquierda