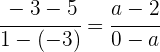
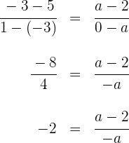
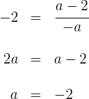
Indica si los siguientes puntos están o no alineados: (Puntos alineados):

Selecciona una respuesta.
1Tres puntos
están alineados si sus coordenadas son proporcionales

2Como se cumple la igualdad, entonces los tres puntos están alineados

Selecciona una respuesta.
1Tres puntos
están alineados si sus coordenadas son proporcionales

2Como no se cumple la igualdad, entonces los tres puntos no están alineados

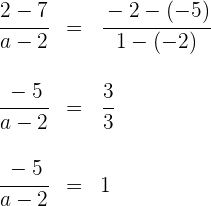
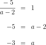
Selecciona una respuesta.
1Tres puntos
están alineados si sus coordenadas son proporcionales

2Como no se cumple la igualdad, entonces los tres puntos no están alineados

Selecciona una respuesta.
1Tres puntos
están alineados si sus coordenadas son proporcionales

2Como se cumple la igualdad, entonces los tres puntos están alineados
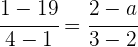
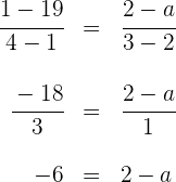
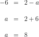
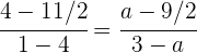
Calcula el parámetro que falta para que los siguientes puntos estén alineados: (Puntos alineados):

Este campo es obligatorio.
1Tres puntos
están alineados si sus coordenadas son proporcionales

2Simplificamos la igualdad

2Resolviendo obtenemos


Este campo es obligatorio.
1Tres puntos
están alineados si sus coordenadas son proporcionales

2Simplificamos la igualdad

2Resolviendo obtenemos


Este campo es obligatorio.
1Tres puntos
están alineados si sus coordenadas son proporcionales

2Simplificamos la igualdad

2Resolviendo obtenemos


Este campo es obligatorio.
1Tres puntos
están alineados si sus coordenadas son proporcionales

2Simplificamos la igualdad

2Resolviendo obtenemos

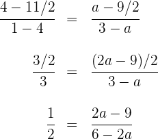
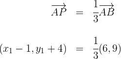
¿Qué puntos
dividen al segmento de extremos
en tres partes iguales?: (División de un segmento en tres parte iguales):

Selecciona una respuesta.
1Calculamos 

2Para calcular el primer punto de corte
consideramos

3De la igualdad anterior se obtiene dos ecuaciones, una por cada coordenada


4Para calcular el segundo punto de corte
consideramos

5De la igualdad anterior se obtiene dos ecuaciones, una por cada coordenada



Selecciona una respuesta.
1Calculamos 

2Para calcular el primer punto de corte
consideramos

3De la igualdad anterior se obtiene dos ecuaciones, una por cada coordenada


4Para calcular el segundo punto de corte
consideramos

5De la igualdad anterior se obtiene dos ecuaciones, una por cada coordenada


Si tienes dudas puedes consultar la teoría aquí y aquí
Resumir con IA:

Apuntes es una plataforma dirigida al estudio y la práctica de las matemáticas a través de la teoría y ejercicios interactivos que ponemos a vuestra disposición. Esta información está disponible para todo aquel/aquella que quiera profundizar en el aprendizaje de esta ciencia. Será un placer ayudaros en caso de que tengáis dudas frente algún problema, sin embargo, no realizamos un ejercicio que nos presentéis de 0 sin que hayáis si quiera intentado resolverlo. Ánimo, todo esfuerzo tiene su recompensa.
Suma de vectores f1=450n,30. 1FR=f1+f6
como sacar el residuo de una multiplicación
Hallar las coordenadas de punto medio del segmento que une (4,7);(14,12)
Hola, podrias mencionar que tipo de multiplicación (normal, de vectores etc.).
si se aplica una traslación al punto E(0;2) se obtiene el punto E'(-1;-5),indicar el vector de translación
Traslaciones Juan es un diseñador gráfico y de acuerdo con las exigencias de uno de sus clientes debe reorganizar los elementos de uno de los avisos publicitarios observemos en la ilustración los cambios y desplazamientos que realizo.
En la ilustración el barco se trasladó dos unidades hacia arriba.
Una traslación es el desplazamiento de una figura sobre un plano sin girarla en ninguna dirección para indicar una traslación usamos una flecha que muestra el sentido hacia donde se hace el movimiento:
Derecha , izquierda, arriba, abajo, occidente, Oriente, Norte o sur) y la magnitud (número de unidades que se mueve la figura).
En el aviso publicitario,? Cuál de los siguientes desplazamientos se realizó con el logo del pez? Márcalo con x
Vectores 400n+horizontal y a la izquierda