Capítulos
Combinación lineal de vectores
Sea
espacio vectorial y
vectores en
, se llama combinación lineal a cada uno de los vectores de la forma:
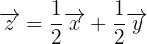
Cualquier vector se puede poner como combinación lineal de otros dos que tengan distinta dirección.

En la imagen anterior vemos al vector
escrito como combinacion lineal de
y 
Ejemplos
1 Dadoslos vectores
,
, calcular el vector combinación lineal 
Tendremos que
2 El vector
, ¿se puede expresar como combinación lineal de los vectores
y
?
Vemos si podemos encontrar,
que cumplan lo siguiente
Por tanto se debe tener que
Resolviendo obtenemos que
y por tanto
Dependencia Lineal
Varios vectores libres del plano son linealmente dependientes si existe una combinación lineal de ellos que sea igual al vector cero, sin que sean cero todos los coeficientes de la combinación lineal.
Es decir, el conjunto de vectores
son linealmente dependientes si
con
distintos de cero.
Propiedades
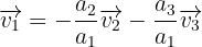
1 Si varios vectores son linealmente dependientes, entonces al menos uno de ellos se puede expresar como combinación lineal de los otros.
despejando
Si un vector es combinación lineal de otros, entonces todos los vectores son linealmente dependientes.
2 Dos vectores del plano son linealmente dependientes si, y sólo si, son paralelos.
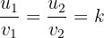
3 Dos vectores del plano
y
son linealmente dependientes si sus componentes son proporcionales.
Vectores linealmente dependientes
entonces
Independencia lineal
Varios vectores libres son linealmente independientes si ninguno de ellos se puede expresar como combinación lineal de los otros. Es decir, son linealmente independientes si no son linealmente dependientes.
Por lo tanto, el conjunto de vectores
cumple que
si y solo si
Los vectores linealmente independientes tienen distinta dirección.
Ejercicios de dependencia e independencia lineal
1 Estudiar la dependencia lineal de los vectores:
y
.
La propiedad (2) nos dice que si dos vectores son linealmente dependientes entonces sus componentes son proporcionales, en este caso, notemos que
por tanto, linealmente independientes.
2 Estudiar la dependencia lineal de los vectores:
y 
Necesitamos que
entonces
Por tanto son linealmente dependientes para
.
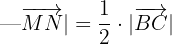
3 Comprobar que el segmento de une los puntos medios de los lados
y
del triángulo:
, es paralelo al lado
e igual a su mitad.

¿Son paralelos? Primero encontremos los puntos M, N y tambien al vector 
Si
es paralelo a
sus componentes son proporcionales. Verifiquemos
y ahora
Por tanto, son paralelos.
Comprobemos ahora que
:
¿Buscas clases de repaso de matemáticas? Superprof es tu sitio.
Resumir con IA:









Apuntes es una plataforma dirigida al estudio y la práctica de las matemáticas a través de la teoría y ejercicios interactivos que ponemos a vuestra disposición. Esta información está disponible para todo aquel/aquella que quiera profundizar en el aprendizaje de esta ciencia. Será un placer ayudaros en caso de que tengáis dudas frente algún problema, sin embargo, no realizamos un ejercicio que nos presentéis de 0 sin que hayáis si quiera intentado resolverlo. Ánimo, todo esfuerzo tiene su recompensa.
Suma de vectores f1=450n,30. 1FR=f1+f6
como sacar el residuo de una multiplicación
Hallar las coordenadas de punto medio del segmento que une (4,7);(14,12)
Hola, podrias mencionar que tipo de multiplicación (normal, de vectores etc.).
si se aplica una traslación al punto E(0;2) se obtiene el punto E'(-1;-5),indicar el vector de translación
Traslaciones Juan es un diseñador gráfico y de acuerdo con las exigencias de uno de sus clientes debe reorganizar los elementos de uno de los avisos publicitarios observemos en la ilustración los cambios y desplazamientos que realizo.
En la ilustración el barco se trasladó dos unidades hacia arriba.
Una traslación es el desplazamiento de una figura sobre un plano sin girarla en ninguna dirección para indicar una traslación usamos una flecha que muestra el sentido hacia donde se hace el movimiento:
Derecha , izquierda, arriba, abajo, occidente, Oriente, Norte o sur) y la magnitud (número de unidades que se mueve la figura).
En el aviso publicitario,? Cuál de los siguientes desplazamientos se realizó con el logo del pez? Márcalo con x
Vectores 400n+horizontal y a la izquierda