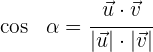
El producto escalar de dos vectores no nulos es igual al módulo de uno de ellos por la proyección del otro sobre él.

Esto se obtiene de
1Calcular el coseno del ángulo 
2Despejamos
el cual es la proyección escalar de
sobre el vector 
3Sabemos que
, luego
4Simplificando se obtiene
5Despejando se obtiene
El vector proyección se calcula multiplicando la proyección escalar por un vector unitario de
, de modo que obtenemos otro vector con la misma dirección.
La proyección escalar del vector
sobre
es el módulo de la proyección vectorial de
sobre
.
Ejercicios
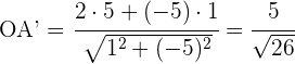
1Hallar la proyección del vector
sobre el vector
.
Empleamos la fórmula de la proyección de un vector
Resolviendo se obtiene
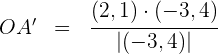
2Calcula la proyección del vector
sobre el vector
.
Empleamos la fórmula de la proyección de un vector
Resolviendo se obtiene
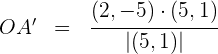
3Calcula la proyección del vector
sobre
, siendo
.

Calculamos los vectores 
Empleamos la fórmula de la proyección de un vector
Resolviendo se obtiene
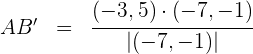
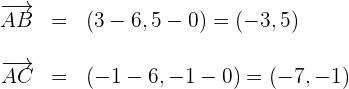
4Siendo
los vértices de un triángulo, calcular las proyecciones de los lados
y
sobre
y comprobar que su suma es igual al módulo de
.

Calculamos los vectores 
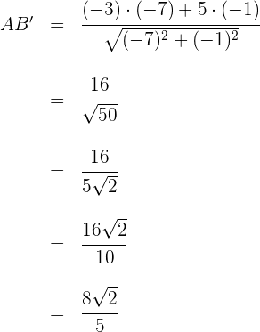
Empleamos la fórmula de la proyección de un vector para hallar
la proyección de
sobre 
Resolviendo se obtiene
Empleamos la fórmula de la proyección de un vector para hallar
la proyección de
sobre 
Resolviendo se obtiene
La suma de ambas proyecciones es
lo cual coincide con el módulo de 
Resumir con IA:

Apuntes es una plataforma dirigida al estudio y la práctica de las matemáticas a través de la teoría y ejercicios interactivos que ponemos a vuestra disposición. Esta información está disponible para todo aquel/aquella que quiera profundizar en el aprendizaje de esta ciencia. Será un placer ayudaros en caso de que tengáis dudas frente algún problema, sin embargo, no realizamos un ejercicio que nos presentéis de 0 sin que hayáis si quiera intentado resolverlo. Ánimo, todo esfuerzo tiene su recompensa.
Suma de vectores f1=450n,30. 1FR=f1+f6
como sacar el residuo de una multiplicación
Hallar las coordenadas de punto medio del segmento que une (4,7);(14,12)
Hola, podrias mencionar que tipo de multiplicación (normal, de vectores etc.).
si se aplica una traslación al punto E(0;2) se obtiene el punto E'(-1;-5),indicar el vector de translación
Traslaciones Juan es un diseñador gráfico y de acuerdo con las exigencias de uno de sus clientes debe reorganizar los elementos de uno de los avisos publicitarios observemos en la ilustración los cambios y desplazamientos que realizo.
En la ilustración el barco se trasladó dos unidades hacia arriba.
Una traslación es el desplazamiento de una figura sobre un plano sin girarla en ninguna dirección para indicar una traslación usamos una flecha que muestra el sentido hacia donde se hace el movimiento:
Derecha , izquierda, arriba, abajo, occidente, Oriente, Norte o sur) y la magnitud (número de unidades que se mueve la figura).
En el aviso publicitario,? Cuál de los siguientes desplazamientos se realizó con el logo del pez? Márcalo con x
Vectores 400n+horizontal y a la izquierda