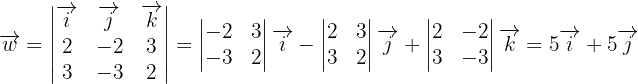
Hallar dos vectores de módulo la unidad y ortogonales a
y
.
Recordemos que para hallar un vector ortogonal a dos vectores dados debemos tomar el producto cruz (vectorial) entre ellos.
Para este caso particular tenemos que un vector ortogonal a
y
es
Ahora calcularemos la norma de este vector para obtener los vectores unitarios, 
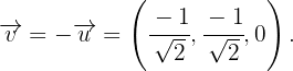
EL primer vector unitario y ortogonal que buscamos es el vector
divido por su norma 
El segundo vector lo obtenemos solo invirtiendo la dirección del primero, es decir, multiplicando por menos uno 
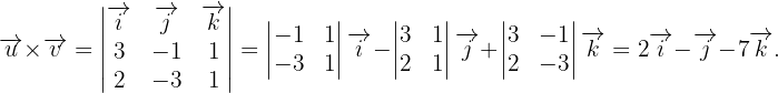
Hallar un vector perpendicular a
y
, y que sea unitario.
Aplicamos un procedimiento similar al del problema anterior. Para hallar un vector ortogonal a dos vectores dados debemos tomar el producto cruz (vectorial) entre ellos.
Para este caso particular tenemos que un vector ortogonal a
y
es
Ahora calcularemos la norma de este vector para obtener el vector unitario, 
EL vector unitario y ortogonal que buscamos es el vector
divido por su norma 
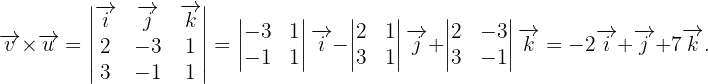
Dados los vectores
y
, hallar el producto
y comprobar que este vector es ortogonal a
y a
.
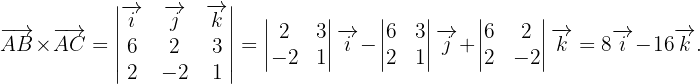
Hallar el vector
y compararlo con
.
Primero hallamos el vector

Dos vectores son ortogonales si su producto punto es igual a cero. Entonces calcularemos
y 

Para terminar calcularemos el vector
Notemos que se obtiene que 
Considerar la siguiente figura:

Se pide:
A Coordenadas de
para que
sea un paralelogramo.
B Área de este paralelogramo.
1Para que la figura sea un paralelogramo, los vectores
y
deben ser equipolentes.
Si
tiene coordenadas
entonces
y
.
Dado que son equipolentes entonces

Por lo tanto las coordenadas buscadas son 
2 El área del paralelogramo se halla calculando la norma del producto cruz (vectorial) de los vectores que determinan el paralelogramos, en este caso podemos considerar que estos vectores son
y
.
Ahora calculamos el producto cruz (vectorial) 
Finalmente calculando su norma hallamos el área buscada, 
Dados los puntos
,
y
, se pide:
A Hallar para qué valores del parámetro
están alineados.
B Hallar si existen valores de
para los cuales
,
y
son tres vértices de un paralelogramo de área
y, en caso afirmativo, calcularlos.
1Si
y
están alineados los vectores
y
tienen la misma dirección, por lo que son linealmente dependientes y tienen sus componentes proporcionales
Para que sus componentes sean proporcionales deben cumplir que
entonces 
2 El módulo del producto vectorial (o cruz) de los vectores
y
es igual al área del paralelogramo construido sobre
y
. Calculamos el producto vectorial de estos vectores
Dado que le área debe ser igual a
, entonces
entonces
Finalmente los vectores que buscamos son
o 
Sean
,
y
los tres vértices de un triángulo. Se pide:
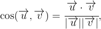
A Calcular el coseno de cada uno de los tres ángulos del triángulo.
B Calcular el área del triángulo.
1Recordemos que el coseno del ángulo entre dos vectores
y
es igual a
donde
denota el producto punto entre los vectores
y
.
Para nuestro caso tenemos que los vectores en cuestión son

Los ángulos del triángulo estan determinados por los siguientes pares de vectores
y
,
y
,
y
.
Por lo tanto los cosenos buscaos son

2 El área del triángulo es solo la mitad del área del paralelogramo determinado por los vectores
y
.
Por lo tanto debemos calcular el área de dicho paralelogramo, sabemos que esa área es la norma del producto vectorial de
y
.
La norma de este vector osea el área del paralelogramo es igual a 
Finalmente el área del triángulo es 
Encuentra a tu profesor de mates en Superprof.
Resumir con IA:

Apuntes es una plataforma dirigida al estudio y la práctica de las matemáticas a través de la teoría y ejercicios interactivos que ponemos a vuestra disposición. Esta información está disponible para todo aquel/aquella que quiera profundizar en el aprendizaje de esta ciencia. Será un placer ayudaros en caso de que tengáis dudas frente algún problema, sin embargo, no realizamos un ejercicio que nos presentéis de 0 sin que hayáis si quiera intentado resolverlo. Ánimo, todo esfuerzo tiene su recompensa.
Suma de vectores f1=450n,30. 1FR=f1+f6
como sacar el residuo de una multiplicación
Hallar las coordenadas de punto medio del segmento que une (4,7);(14,12)
Hola, podrias mencionar que tipo de multiplicación (normal, de vectores etc.).
si se aplica una traslación al punto E(0;2) se obtiene el punto E'(-1;-5),indicar el vector de translación
Traslaciones Juan es un diseñador gráfico y de acuerdo con las exigencias de uno de sus clientes debe reorganizar los elementos de uno de los avisos publicitarios observemos en la ilustración los cambios y desplazamientos que realizo.
En la ilustración el barco se trasladó dos unidades hacia arriba.
Una traslación es el desplazamiento de una figura sobre un plano sin girarla en ninguna dirección para indicar una traslación usamos una flecha que muestra el sentido hacia donde se hace el movimiento:
Derecha , izquierda, arriba, abajo, occidente, Oriente, Norte o sur) y la magnitud (número de unidades que se mueve la figura).
En el aviso publicitario,? Cuál de los siguientes desplazamientos se realizó con el logo del pez? Márcalo con x
Vectores 400n+horizontal y a la izquierda