Capítulos
Definición de vector
Un vector fijo
es un segmento orientado que va del punto
(origen) al punto
(extremo).
Vector nulo
Un vector fijo es nulo cuando el origen y su extremo coinciden.
Módulo del vector 
Es la longitud del segmento
, se representa por 
Dirección de un vector 
Es la dirección de la recta que contiene al vector o de cualquier recta paralela a ella.

Sentido del vector 
El que va del origen
al extremo
.
Vectores equipolentes y libres
Vectores equipolentes
Dos vectores son equipolentes cuando tienen igual módulo, dirección y sentido.

Vectores libres

El conjunto de todos los vectores equipolentes entre sí se llama vector libre. Cada vector fijo es un representante del vector libre.
Vectores en un plano
Vector de posición
El vector
que une el origen de coordenadas
con un punto
se llama vector de posición del punto
.

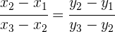
Coordenadas o componentes de un vector
Si las coordenadas de
y
son:


Las coordenadas o componentes del vector
son las coordenadas del extremo menos las coordenadas del origen.

Módulo de un vector
El módulo de un vector es la longitud del segmento orientado que lo define.
El módulo de un vector es un número siempre positivo y solamente el vector nulo tiene módulo cero
Cálculo conociendo sus componentes

El módulo es igual a la raiz cuadrada de la suma de los cuadrados de sus componentes

Cálculo conociendo las coordenadas de los puntos



Vectores unitarios
Los vectores unitarios tienen de módulo la unidad.

Suma y resta de vectores
Suma de vectores

Para sumar dos vectores libres
y
se escogen como representantes dos vectores tales que el extremo de uno coincida con el origen del otro vector.

Regla del paralelogramo
Se toman como representantes dos vectores con el origen en común, se trazan rectas paralelas a los vectores obteniéndose un paralelogramo cuya diagonal coincide con la suma de los vectores.
Para sumar dos vectores se suman sus respectivas componentes.


Resta de vectores

Para restar dos vectores libres
y
se suma
con el opuesto de
.
Las componentes del vector resta se obtienen restando las componentes de los vectores.


Producto de un número por un vector
El producto de un número
por un vector
es otro vector:
1 De igual dirección que el vector
.
2 Del mismo sentido que el vector
si
es positivo.
3 De sentido contrario del vector
si
es negativo.
4 De módulo 
Las componentes del vector resultante se obtienen multiplicando por
las componentes del vector.


Puntos en los vectores
Coordenadas del punto medio de un segmento

Las coordenadas del punto medio de un segmento coinciden con la semisuma de las coordenadas de de los puntos extremos.

Condición para qué tres puntos estén alineados

Los puntos
y
están alineados siempre que los vectores
y
tengan la misma dirección. Esto ocurre cuando sus coordenadas son proporcionales.

Simétrico de un punto respecto de otro

Si
es el simétrico de
respecto de
, entonces
es el punto medio del segmento
. Por lo que se verificará igualdad:

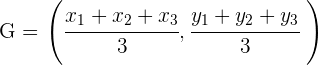
Coordenadas del baricentro

Baricentro o centro de gravedad de un triángulo es el punto de intersección de sus medianas.
Las coordenadas del baricentro son:

División de un segmento en una relación dada
Dividir un segmento
en una relación dada
es determinar un punto
de la recta que contiene al segmento
, de modo que las dos partes,
y
, están en la relación
:

Resumir con IA:









Apuntes es una plataforma dirigida al estudio y la práctica de las matemáticas a través de la teoría y ejercicios interactivos que ponemos a vuestra disposición. Esta información está disponible para todo aquel/aquella que quiera profundizar en el aprendizaje de esta ciencia. Será un placer ayudaros en caso de que tengáis dudas frente algún problema, sin embargo, no realizamos un ejercicio que nos presentéis de 0 sin que hayáis si quiera intentado resolverlo. Ánimo, todo esfuerzo tiene su recompensa.
Suma de vectores f1=450n,30. 1FR=f1+f6
como sacar el residuo de una multiplicación
Hallar las coordenadas de punto medio del segmento que une (4,7);(14,12)
Hola, podrias mencionar que tipo de multiplicación (normal, de vectores etc.).
si se aplica una traslación al punto E(0;2) se obtiene el punto E'(-1;-5),indicar el vector de translación
Traslaciones Juan es un diseñador gráfico y de acuerdo con las exigencias de uno de sus clientes debe reorganizar los elementos de uno de los avisos publicitarios observemos en la ilustración los cambios y desplazamientos que realizo.
En la ilustración el barco se trasladó dos unidades hacia arriba.
Una traslación es el desplazamiento de una figura sobre un plano sin girarla en ninguna dirección para indicar una traslación usamos una flecha que muestra el sentido hacia donde se hace el movimiento:
Derecha , izquierda, arriba, abajo, occidente, Oriente, Norte o sur) y la magnitud (número de unidades que se mueve la figura).
En el aviso publicitario,? Cuál de los siguientes desplazamientos se realizó con el logo del pez? Márcalo con x
Vectores 400n+horizontal y a la izquierda