Capítulos
En el plano cartesiano el producto escalar —también llamado producto punto, o bien, producto interno— de dos vectores
y
es un número real positivo que corresponde al producto de sus módulos por el coseno del ángulo
que forman

y en su representación analítica, equivale a la suma del producto de sus entradas coordenada a coordenada:

En el espacio cartesiano, la interpretación geométrica del producto escalar es la misma pues el ángulo
corresponde al ángulo que se forma en el plano que contiene a los vectores. Además, el módulo de cada vector se calcula de la misma manera pero considerando una coordenada más. El módulo de un vector también se conoce como norma:

Por ejemplo, para el vector
el módulo es

¿Buscas una profesora de matematicas? Entra en Superprof, encuéntrala ¡y pide ya tu primera clase gratis!
Fórmulas del producto escalar en el espacio
Para dos vectores
y
en el espacio cartesiano, el producto escalar está dado por

y su representación analítica como

Y, por tanto, el ángulo
como

Ejemplo:
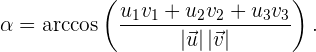
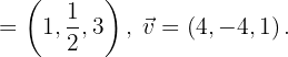
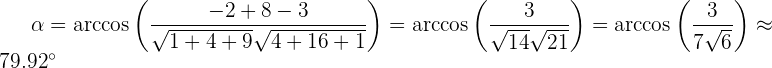
1 Hallar el producto escalar de los vectores 

2Calcular los módulos de los vectores
y 


3Determinar el ángulo que forman los vectores
y 

Generalizaciones del producto escalar en el espacio
Vectores ortogonales
Al igual que en el plano cartesiano, dos vectores son ortogonales si su producto escalar es cero, pues
. Así, si los vectores
y
son ortogonales entonces

Ejercicio:
Calcula los valores
para que el vector
sea ortogonal a los vectores
y 


Así,
.
Nota: Si los vectores
y
son paralelos, el ángulo que se forma es de
y
, pues
.
Nota: Si los vectores
y
forman un ángulo de
,
pues
.
Propiedades del producto escalar
1 Es conmutativo.

2 Es asociativo con respecto a la multiplicación por un escalar.

3 Es distributivo con respecto a la suma de vectores.

4 Hereda el ser positivo definido.

Interpretación geométrica del producto escalar
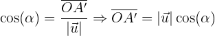
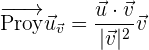
Dados dos vectores y considerando el plano que los contiene, puede interpretarse el producto escalar como el producto del módulo de un vector por el módulo de la proyección del otro vector sobre éste.

Como
aplicando las identidades trignométricas


Entonces
se define como la proyección del vector
sobre el vector 

y el vector proyección de
sobre
a partir de un vector con módulo la unidad paralelo a
:

Ejercicio:
Dados los vectores
y
, calcula:
a) Los módulos de
y
.


b) El producto escalar de
y
.

c) El ángulo
que forman.

d) La proyección de
sobre
.

e) La proyección de
sobre
.

f) Calcula el valor de
para que los vectores
y
sean ortogonales.

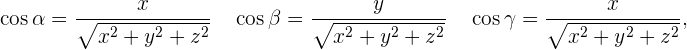
Cosenos directores de una base ortonormal
En una base ortonormal, se llaman cosenos directores del vector
a los cosenos de los ángulos que forma
con cada uno de los vectores de la base. Si se consideran la base canónica
, por ejemplo, se tiene que

donde se cumple que

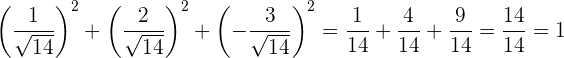
Ejercicio:
Determinar los cosenos directores del vector
con respecto a la base canónica y verifica que su suma es 1.




Resumir con IA:









Apuntes es una plataforma dirigida al estudio y la práctica de las matemáticas a través de la teoría y ejercicios interactivos que ponemos a vuestra disposición. Esta información está disponible para todo aquel/aquella que quiera profundizar en el aprendizaje de esta ciencia. Será un placer ayudaros en caso de que tengáis dudas frente algún problema, sin embargo, no realizamos un ejercicio que nos presentéis de 0 sin que hayáis si quiera intentado resolverlo. Ánimo, todo esfuerzo tiene su recompensa.
Suma de vectores f1=450n,30. 1FR=f1+f6
como sacar el residuo de una multiplicación
Hallar las coordenadas de punto medio del segmento que une (4,7);(14,12)
Hola, podrias mencionar que tipo de multiplicación (normal, de vectores etc.).
si se aplica una traslación al punto E(0;2) se obtiene el punto E'(-1;-5),indicar el vector de translación
Traslaciones Juan es un diseñador gráfico y de acuerdo con las exigencias de uno de sus clientes debe reorganizar los elementos de uno de los avisos publicitarios observemos en la ilustración los cambios y desplazamientos que realizo.
En la ilustración el barco se trasladó dos unidades hacia arriba.
Una traslación es el desplazamiento de una figura sobre un plano sin girarla en ninguna dirección para indicar una traslación usamos una flecha que muestra el sentido hacia donde se hace el movimiento:
Derecha , izquierda, arriba, abajo, occidente, Oriente, Norte o sur) y la magnitud (número de unidades que se mueve la figura).
En el aviso publicitario,? Cuál de los siguientes desplazamientos se realizó con el logo del pez? Márcalo con x
Vectores 400n+horizontal y a la izquierda