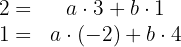
Dados los vectores:

hallar la combinación lineal:

Lo primero que haremos es sustituir los valores de
,
en la combinación lineal, por lo que tenemos:

Ahora haremos la multiplicación por el escalar:

Por lo que finalmente necesitamos hacer la suma de los vectores para resolver el problema:

¿Se puede expresar el vector
como combinación lineal de los vectores
,
?
Para averiguar si es posible expresar el vector
como combinación lineal de los vectores
,
debemos encontrar escalares
,
tales que:

Si sustituimos los valores de
tenemos:

Podemos notar que esto es equivalente a resolver el sistema de ecuaciones;

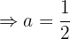
Para resolver esto tomamos la primera ecuación y despejamos para
, por lo que obtenemos:

Ahora sustituimos el valor de
en la segunda ecuación para obtener:


Por lo que se sigue que:
.
ya que encontramos pudimos encontrar escalares
,
tales que:

Entonces concluimos que el vector
se puede expresar como combinación lineal de los vectores
,
.
¿Qué pares de los siguientes vectores forman una base para el plano
?

Dado que estamos buscando una base para el plano
, sabemos que dos vectores forman una base si no son linealmente dependientes, y a su vez tenemos que dos vectores son linealmente dependientes si uno es un múltiplo escalar del otro.Es decir basta con ver si en un par de vectores ninguno de ellos es múltiplo de otro para que sean una base.Ahora dados dos vectores
decimos que uno es múltiplo del otro si
Empezamos por tomar los vectores
y
, notamos que:

Por lo que
y
forman una base para el plano.Tomamos ahora los vectores
y
y notamos que:

Por lo que
y
no forman una base para el plano.
Por ultimo tomamos los vectores
y
, y notamos que:

Por lo que
y
forman una base para el plano.
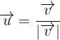
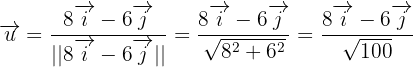
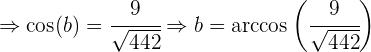
Hallar un vector unitario
de la misma dirección del vector 
La formula para encontrar un vector unitario
de la misma dirección de un vector
está dada por:

Donde
representa la norma del vector
.Por lo que sustituyendo los valores que nos han dado tenemos que:


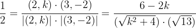
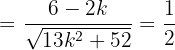
Suponiendo que respecto de la base ortonormal
del plano los vectores
tienen como expresiones:

calcular el valor de
sabiendo que 
Sustituyendo los respectivos valores de
en la expresión
y desarrollando obtenemos lo siguiente:


Por lo que despejando
de esta última expresión tenemos que:

Dados los vectores
y
, calcula
para que los vectores
y
sean:
aPerpendiculares.
bParalelos.
cFormen un ángulo de
.
aSi queremos que los vectores sean perpendiculares entonces debemos elegir un valor de
tal que:

Si sustituimos los valores de ambos vectores en esta última ecuación y luego la desarrollamos, obtenemos:


Por lo que despejando
en esta última expresión tenemos:

bPedir que dos vectores sean paralelos es equivalente a pedir que uno de los vectores sea un múltiplo escalar del otro, por lo que debemos elegir un valor de
tal que:

El cual podemos obtener fácilmente despejando
de esta última expresión, si lo hacemos obtenemos:

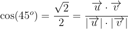
cEl ángulo que forman dos vectores
y
viene dado por la expresión:

Donde
representa la norma del vector
(similar para
), y
es el ángulo entre los vectores.Entonces si buscamos que el ángulo entre los vectores sea
significa que:

Por ende sustituyendo el valor de
y
en esta última expresión tenemos:





Ahora solo nos falta usar la formula general de segundo grado para encontrar las soluciones de la última expresión, las cuales son:

Hallar
si el ángulo que forma
con
es:
a
b
cFormen un ángulo de 
a
Si el ángulo entre los vectores es de
entonces los vectores son perpendiculares por lo que el valor de
de ser tal que:

Si sustituimos los valores de ambos vectores en esta última ecuación y luego la desarrollamos, obtenemos:


Por lo que despejando
en esta última expresión tenemos:

b
Si el ángulo entre dos vectores es
significa que los vectores son paralelos, lo cual es equivalente a pedir que uno de los vectores sea un múltiplo escalar del otro, por lo que debemos encontrar un valor de
tal que:

El cual podemos obtener fácilmente despejando
de esta última expresión, si lo hacemos obtenemos:

cFormen un ángulo de 
El ángulo que forman dos vectores
y
viene dado por la expresión:

Donde
representa la norma del vector
(similar para
), y
es el ángulo entre los vectores.Entonces si buscamos que el ángulo entre los vectores sea
significa que:

Por ende sustituyendo el valor de
y
en esta última expresión tenemos:





Ahora solo nos falta usar la formula general de segundo grado para encontrar las soluciones de la última expresión, las cuales son:

Suponiendo que respecto a la base ortonormal
del plano los vectores
y
tienen como expresiones:

Calcular el valor de
para que los dos vectores sean ortogonales.
Si dos vectores
y
son ortogonales entonces se cumple:
. Entonces debemos buscar un valor de
tal que esto ocurra, para encontrarlo sustituimos los valores de los vectores desarrollamos esa expresión.


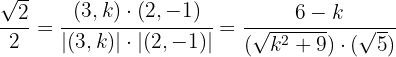
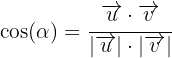
Calcular los ángulos del triángulo de vértices: 
El ángulo que forman dos vectores
y
viene dado por la expresión:

Donde
representa la norma del vector
(similar para
), y
es el ángulo entre los vectores.En este caso podemos tomar como vectores los segmentos que conectan los puntos del triángulo de la siguiente manera:



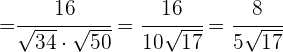
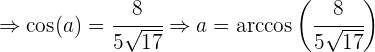
Primero vamos a encontrar el ángulo
que se encuentra entre los vectores
y
con la fórmula mencionada al inicio, por lo que hacemos:




Ahora vamos a encontrar el ángulo
que se encuentra entre los vectores
y
con la fórmula mencionada al inicio, por lo que hacemos:


Dado que
es una función par entonces
, por lo que usando esto tenemos que:


Para encontrar el valor del último ángulo
podemos usar el mismo proceso que usamos para los anteriores, pero usaremos el hecho de que la suma de los ángulos internos de un triángulo es igual a
, por lo que tenemos que:


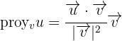
Calcula la proyección del vector
sobre él vector
, siendo
.
La proyección del vector
sobre el vector
está dada por la fórmula:

donde
es la norma del vector
.Entonces sustituyendo los valores de los vectores
y
en esta fomula tenemos:


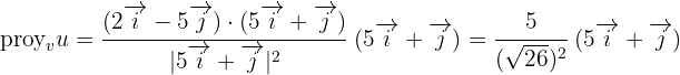
Calcula la proyección del vector
sobre él vector
, siendo
.
Primero vamos a calcular los componentes de los vectores
y
los cuales son:


Ahora la proyección de un vector
sobre el vector
está dada por la fórmula:

Por lo que si sustituimos los valores de los vectores del problema tenemos:



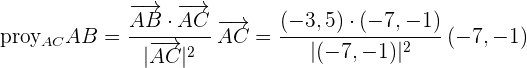
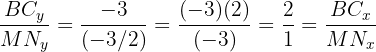
Comprobar que el segmento de une los puntos medios de los lados
y
del triángulo:
, es paralelo al lado
e igual a su mitad.

Lo primero que tenemos que hacer es encontrar el punto medio de los lados
y
, el cual lo podemos calcular con la siguiente fórmula:

Por lo que el punto medio del lado
es:

y en cuanto al punto medio del lado
es:

Por lo que el segmento que une los puntos medios de estos lados es
Ahora el segmento
es paralelo al lado
si sus componentes son proporcionales (uno de ellos es múltiplo del otro).Dados dos vectores
decimos que uno es múltiplo del otro si
Entonces si usamos esto último podemos averiguar si los vectores
,
son paralelos, por lo que sustituimos sus componetes en esta expresión y tenemos:

Por lo que efectivamente el segmento
es paralelo al lado
.
Si
forma una base ortonormal, calcular:
1
.
2
.
3
.
4
.
Debido a que los vectores
forman una base ortonormal significa que la norma de cada uno de ellos es igual a
.

Ahora sabemos que el ángulo
entre dos vectores
esta dado por:

Por lo que podemos reescribir esta expresión de la siguiente forma:

Entonces usando esta última expresión tenemos:1
Dado que estamos calculando el producto punto entre dos vectores iguales, entonces el ángulo entre ellos es
y su norma es
por ser vectores pertenecientes a la base ortonormal, por lo que tenemos que:


2
Dado que estamos calculando el producto punto entre dos vectores pertenecientes a la base ortonormal, esto indica que el ángulo entre los dos es
y su norma es
, por lo que tenemos que:


3
Dado que estamos calculando el producto punto entre dos vectores pertenecientes a la base ortonormal, esto indica que el ángulo entre los dos es
y su norma es
, por lo que tenemos que:


4
Dado que estamos calculando el producto punto entre dos vectores iguales, entonces el ángulo entre ellos es
y su norma es
por ser vectores pertenecientes a la base ortonormal, por lo que tenemos que:


Resumir con IA:

Apuntes es una plataforma dirigida al estudio y la práctica de las matemáticas a través de la teoría y ejercicios interactivos que ponemos a vuestra disposición. Esta información está disponible para todo aquel/aquella que quiera profundizar en el aprendizaje de esta ciencia. Será un placer ayudaros en caso de que tengáis dudas frente algún problema, sin embargo, no realizamos un ejercicio que nos presentéis de 0 sin que hayáis si quiera intentado resolverlo. Ánimo, todo esfuerzo tiene su recompensa.
Suma de vectores f1=450n,30. 1FR=f1+f6
como sacar el residuo de una multiplicación
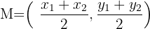
Hallar las coordenadas de punto medio del segmento que une (4,7);(14,12)
Hola, podrias mencionar que tipo de multiplicación (normal, de vectores etc.).
si se aplica una traslación al punto E(0;2) se obtiene el punto E'(-1;-5),indicar el vector de translación
Traslaciones Juan es un diseñador gráfico y de acuerdo con las exigencias de uno de sus clientes debe reorganizar los elementos de uno de los avisos publicitarios observemos en la ilustración los cambios y desplazamientos que realizo.
En la ilustración el barco se trasladó dos unidades hacia arriba.
Una traslación es el desplazamiento de una figura sobre un plano sin girarla en ninguna dirección para indicar una traslación usamos una flecha que muestra el sentido hacia donde se hace el movimiento:
Derecha , izquierda, arriba, abajo, occidente, Oriente, Norte o sur) y la magnitud (número de unidades que se mueve la figura).
En el aviso publicitario,? Cuál de los siguientes desplazamientos se realizó con el logo del pez? Márcalo con x
Vectores 400n+horizontal y a la izquierda