Indica si los siguientes puntos están o no alineados: (Puntos alineados):
1
<!-nuevo->
1Verificamos que las coordenadas sean proporcionales

2Se satisface la igualdad, por lo tanto los tres puntos son colineales.
<!-nuevo->
2
<!-nuevo->
1Verificamos que las coordenadas sean proporcionales

2No se satisface la igualdad, por lo tanto los tres puntos no son colineales.
<!-nuevo->
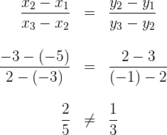
3
<!-nuevo->
1Verificamos que las coordenadas sean proporcionales

2No se satisface la igualdad, por lo tanto los tres puntos no son colineales.
<!-nuevo->
4
<!-nuevo->
1Verificamos que las coordenadas sean proporcionales

2Se satisface la igualdad, por lo tanto los tres puntos son colineales.
<!-nuevo->
Calcula el parámetro que falta para que los siguientes puntos estén alineados: (Puntos alineados):
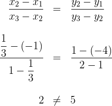
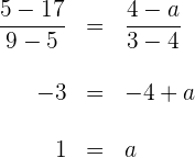
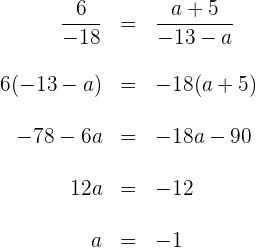
5
a = ,
<!-nuevo->
1Escribimos la proporción de coordenadas

2Resolvemos la proporción de coordenadas respecto a 

<!-nuevo->
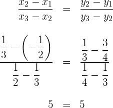
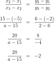
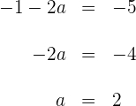
6
a = ,
<!-nuevo->
1Escribimos la proporción de coordenadas

2Resolvemos la proporción de coordenadas respecto a 

<!-nuevo->
7
a = ,
<!-nuevo->
1Escribimos la proporción de coordenadas

2Resolvemos la proporción de coordenadas respecto a 

<!-nuevo->
8
a = ,
<!-nuevo->
1Escribimos la proporción de coordenadas

2Resolvemos la proporción de coordenadas respecto a 

<!-nuevo->
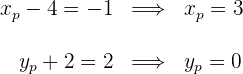
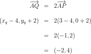
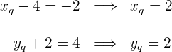
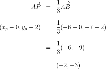
¿Qué puntos P y Q dividen al segmento de extremos A y B en tres partes iguales?: (División de un segmento en tres parte iguales):
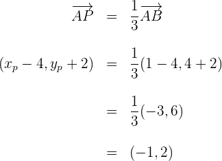
9
<!-nuevo->
1Para hallar el punto
, sustituimos los valores de
en

2Igualando coordenada a coordenada, obtenemos dos ecuaciones lineales, las cuales resolvemos para hallar las coordenadas de 

3Para hallar el punto
, sustituimos los valores de
en

2Igualando coordenada a coordenada, obtenemos dos ecuaciones lineales, las cuales resolvemos para hallar las coordenadas de 

<!-nuevo->
10
<!-nuevo->
1Para hallar el punto
, sustituimos los valores de
en

2Igualando coordenada a coordenada, obtenemos dos ecuaciones lineales, las cuales resolvemos para hallar las coordenadas de 

3Para hallar el punto
, sustituimos los valores de
en

2Igualando coordenada a coordenada, obtenemos dos ecuaciones lineales, las cuales resolvemos para hallar las coordenadas de 

<!-nuevo->

Apuntes es una plataforma dirigida al estudio y la práctica de las matemáticas a través de la teoría y ejercicios interactivos que ponemos a vuestra disposición. Esta información está disponible para todo aquel/aquella que quiera profundizar en el aprendizaje de esta ciencia. Será un placer ayudaros en caso de que tengáis dudas frente algún problema, sin embargo, no realizamos un ejercicio que nos presentéis de 0 sin que hayáis si quiera intentado resolverlo. Ánimo, todo esfuerzo tiene su recompensa.
Suma de vectores f1=450n,30. 1FR=f1+f6
como sacar el residuo de una multiplicación
Hallar las coordenadas de punto medio del segmento que une (4,7);(14,12)
Hola, podrias mencionar que tipo de multiplicación (normal, de vectores etc.).
si se aplica una traslación al punto E(0;2) se obtiene el punto E'(-1;-5),indicar el vector de translación
Traslaciones Juan es un diseñador gráfico y de acuerdo con las exigencias de uno de sus clientes debe reorganizar los elementos de uno de los avisos publicitarios observemos en la ilustración los cambios y desplazamientos que realizo.
En la ilustración el barco se trasladó dos unidades hacia arriba.
Una traslación es el desplazamiento de una figura sobre un plano sin girarla en ninguna dirección para indicar una traslación usamos una flecha que muestra el sentido hacia donde se hace el movimiento:
Derecha , izquierda, arriba, abajo, occidente, Oriente, Norte o sur) y la magnitud (número de unidades que se mueve la figura).
En el aviso publicitario,? Cuál de los siguientes desplazamientos se realizó con el logo del pez? Márcalo con x
Vectores 400n+horizontal y a la izquierda