Capítulos
Definición del producto punto
El producto punto o producto escalar de dos vectores es una operación que da como resultado un número real. Hay distintas formas de definir esta operación, una de ellas es por medio de multiplicar el producto de los módulos de los vectores por el coseno del ángulo que forman, esto es

Sin embargo, la forma más común de definir el producto punto no es esa, sino por medio de la suma de los productos de sus respecticas coordenadas, es decir, si
y
, entonces podemos definir el producto punto como

Ejemplo
Hallar el producto punto de dos vectores cuyas coordenadas son las siguientes:

Aplicando la definición, tenemos que

Propiedades del producto punto
Tenemos las siguientes propiedades importantes del producto punto.
1 Conmutatividad.

2 Asociatidad al multiplicar por un número real.

3 Distributividad con la suma.

4 Si
, entonces se cumple que

Módulo de un vector en términos del producto punto
Podemos expresar el móludo de un vector en términos del producto punto, simplemente notemos que

En pocas palabra, el módulo de un vector es la raíz de producto punto del vector consigo mismo.
Ejemplo
Obtener el módulo del siguiente vector

Aplicando la igualdad anterior, tenemos que

Ángulo entre dos vectores en términos de su producto punto
Podemos definir el ángulo entre dos vectores en términos del producto punto de estos. Primero tengamos en cuenta que el coseno del ángulo que se fomra por dos vectores
y
está dado por

Notemos que una vez que tenemos el coseno, podemos calcular el ángulo simplemente aplicando la función trigonométrica inversa arcocoseno, así

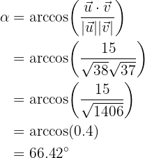
Ejemplo
Obtener el ángulo que forman los vectores

Por la fórmula anterior tenemos que

Vectores ortogonales
Dos vectores
y
son ortogonales si el producto punto de estos es nulo (igual a
), esto es, si se cumple que

así, notemos que la ortogonalidad está definida a partir del producto punto.
Ejemplo
Verificar si los vectores

son ortogonales.
Calculemos el producto punto de los vectores

Dado que el producto punto es igual a
, tenemos que los vectores son ortogonales.
Interpretación geométrica del producto punto
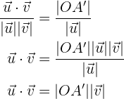
Tenenemos que el producto punto de dos vectores no nulos (distintos al vector cero) es igual al módulo de uno de ellos por el módulo de la proyección del otro sobre él. Analicemos la siguiente imagen

Notemos que
,
y
es la proyección de
sobre
, entonces es claro que

Sin embargo, como vimos previamente, el coseno también está dado por

Igualando tenemos que
Como dado, la proyección escalar de
sobre
se calcula con la siguiente fórmula

es claro que lo que se hace es obtener un vector unitario con la dirección de
y luego le damos una longitud igual a
.
Ejercicios
Los siguientes ejercicio servirán de práctica para entender mejor el producto punto y sus propiedades.
Dados los vectores

encontrar sus módulos.
Calculemos los módulos


Dados los vectores

calcular su producto escalar.
Calculemos el producto escalar

Verificar si los vectores

son ortogonales.
Calculemos el producto punto de los vectores

Dado que el producto punto no es igual a
, tenemos que los vectores no son ortogonales.
Dados los vectores

calcular el ángulo que forman.
Apliquemos la fórmula que vimos, esto es, usaremos arcocoseno

Dados los vectores

encontrar el valor de
para que los vectores sean ortogonales.
Recordemos que para que dos vectores sean ortogonales su producto punto debe ser igual a cero, por lo tanto

Resumir con IA:









Apuntes es una plataforma dirigida al estudio y la práctica de las matemáticas a través de la teoría y ejercicios interactivos que ponemos a vuestra disposición. Esta información está disponible para todo aquel/aquella que quiera profundizar en el aprendizaje de esta ciencia. Será un placer ayudaros en caso de que tengáis dudas frente algún problema, sin embargo, no realizamos un ejercicio que nos presentéis de 0 sin que hayáis si quiera intentado resolverlo. Ánimo, todo esfuerzo tiene su recompensa.
Suma de vectores f1=450n,30. 1FR=f1+f6
como sacar el residuo de una multiplicación
Hallar las coordenadas de punto medio del segmento que une (4,7);(14,12)
Hola, podrias mencionar que tipo de multiplicación (normal, de vectores etc.).
si se aplica una traslación al punto E(0;2) se obtiene el punto E'(-1;-5),indicar el vector de translación
Traslaciones Juan es un diseñador gráfico y de acuerdo con las exigencias de uno de sus clientes debe reorganizar los elementos de uno de los avisos publicitarios observemos en la ilustración los cambios y desplazamientos que realizo.
En la ilustración el barco se trasladó dos unidades hacia arriba.
Una traslación es el desplazamiento de una figura sobre un plano sin girarla en ninguna dirección para indicar una traslación usamos una flecha que muestra el sentido hacia donde se hace el movimiento:
Derecha , izquierda, arriba, abajo, occidente, Oriente, Norte o sur) y la magnitud (número de unidades que se mueve la figura).
En el aviso publicitario,? Cuál de los siguientes desplazamientos se realizó con el logo del pez? Márcalo con x
Vectores 400n+horizontal y a la izquierda