Capítulos
Definición de coordenadas cartesianas y polares
En un sistema de referencia ortonormal, a cada punto
del plano le corresponde un vector
, tal que:

El vector
suele escribirse como

A los coeficientes
e
de la combinación lineal se les llama coordenadas del punto
. La coordenada
se llama abscisa y la coordenada
ordenada.
Como la combinación lineal es única, a cada punto le corresponde un par de números y a cada par de números un punto.
Cuando se conoce el módulo del vector
y el ángulo
que forma con el eje
, se dice que el vector esta expresado en coordenadas polares.

Cambios de coordenadas
Para pasar de coordenadas polares a cartesianas empleamos las siguientes fórmulas:


Ejemplo: Pasar a coordenadas cartesianas 
1 Tenemos que
y 
2 Calculamos la coordenada 

3 Calculamos la coordenada 

Así la expresión en coordenadas cartesianas es

Para pasar de coordenadas cartesianas a polares empleamos las siguientes fórmulas:
Módulo

Argumento o ángulo

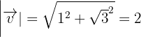
Ejemplo: Pasar a coordenadas polares 
1 Tenemos que
y 
2 Calculamos el módulo

3 Calculamos el argumento

Así la expresión en coordenadas polares es

Ejercicios de coordenadas cartesianas y polares
Pasar a coordenadas cartesianas los siguientes vectores expresados en coordenadas polares

1 Tenemos que
y 
2 Calculamos la coordenada 

3 Calculamos la coordenada 

Así la expresión en coordenadas cartesianas es


1 Tenemos que
y 
2 Calculamos la coordenada 

3 Calculamos la coordenada 

Así la expresión en coordenadas cartesianas es


1 Tenemos que
y 
2 Calculamos la coordenada 

3 Calculamos la coordenada 

Así la expresión en coordenadas cartesianas es


1 Tenemos que
y 
2 Calculamos la coordenada 

3 Calculamos la coordenada 

Así la expresión en coordenadas cartesianas es


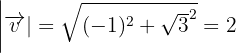
1 Tenemos que
y 
2 Calculamos el módulo

3 Calculamos el argumento

Así la expresión en coordenadas polares es


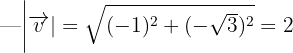
1 Tenemos que
y 
2 Calculamos el módulo

3 Calculamos el argumento

Así la expresión en coordenadas polares es


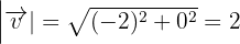
1 Tenemos que
y 
2 Calculamos el módulo

3 Calculamos el argumento

Así la expresión en coordenadas polares es


1 Tenemos que
y 
2 Calculamos el módulo

3 Calculamos el argumento

Así la expresión en coordenadas polares es


1 Tenemos que
y 
2 Calculamos el módulo

3 Calculamos el argumento

Así la expresión en coordenadas polares es


1 Tenemos que
y 
2 Calculamos el módulo

3 Calculamos el argumento

Así la expresión en coordenadas polares es

Resumir con IA:









Apuntes es una plataforma dirigida al estudio y la práctica de las matemáticas a través de la teoría y ejercicios interactivos que ponemos a vuestra disposición. Esta información está disponible para todo aquel/aquella que quiera profundizar en el aprendizaje de esta ciencia. Será un placer ayudaros en caso de que tengáis dudas frente algún problema, sin embargo, no realizamos un ejercicio que nos presentéis de 0 sin que hayáis si quiera intentado resolverlo. Ánimo, todo esfuerzo tiene su recompensa.
Suma de vectores f1=450n,30. 1FR=f1+f6
como sacar el residuo de una multiplicación
Hallar las coordenadas de punto medio del segmento que une (4,7);(14,12)
Hola, podrias mencionar que tipo de multiplicación (normal, de vectores etc.).
si se aplica una traslación al punto E(0;2) se obtiene el punto E'(-1;-5),indicar el vector de translación
Traslaciones Juan es un diseñador gráfico y de acuerdo con las exigencias de uno de sus clientes debe reorganizar los elementos de uno de los avisos publicitarios observemos en la ilustración los cambios y desplazamientos que realizo.
En la ilustración el barco se trasladó dos unidades hacia arriba.
Una traslación es el desplazamiento de una figura sobre un plano sin girarla en ninguna dirección para indicar una traslación usamos una flecha que muestra el sentido hacia donde se hace el movimiento:
Derecha , izquierda, arriba, abajo, occidente, Oriente, Norte o sur) y la magnitud (número de unidades que se mueve la figura).
En el aviso publicitario,? Cuál de los siguientes desplazamientos se realizó con el logo del pez? Márcalo con x
Vectores 400n+horizontal y a la izquierda