Vectores linealmente dependientes
Un conjunto de vectores se dice que son linealmente dependientes si hay una combinación lineal de ellos que es igual al vector cero, sin que sean cero todos los coeficientes de la combinación lineal. Es decir,

para algún valor de
Propiedades
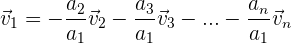
1 Si varios vectores son linealmente dependientes, entonces al menos uno de ellos se puede expresar como combinación lineal de los demás.

Si
entonces 
También se cumple el recíproco: si un vector es combinación lineal de otros, entonces todos los vectores son linealmente dependientes.
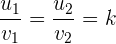
2 Dos vectores del plano son linealmente dependientes si, y sólo si, son paralelos.
3 Dos vectores del plano
y
son linealmente dependientes si sus componentes son proporcionales.


Vectores linealmente independientes
Un conjunto de vectores se dice linealmente independiente si ninguno de ellos puede ser escrito con una combinación lineal de los restantes. Por lo que la siguiente expresión

Será cierta sólo cuando todos los coeficientes sean iguales a cero.

Los vectores linealmente independientes en el plano tienen distinta dirección y sus componentes no son proporcionales.
Ejemplo:
Determinar si son linealmente dependientes o independientes los vectores.

Como sus componentes no son proporcionales entonces, son linealmente independientes.
Resumir con IA:











Apuntes es una plataforma dirigida al estudio y la práctica de las matemáticas a través de la teoría y ejercicios interactivos que ponemos a vuestra disposición. Esta información está disponible para todo aquel/aquella que quiera profundizar en el aprendizaje de esta ciencia. Será un placer ayudaros en caso de que tengáis dudas frente algún problema, sin embargo, no realizamos un ejercicio que nos presentéis de 0 sin que hayáis si quiera intentado resolverlo. Ánimo, todo esfuerzo tiene su recompensa.
Suma de vectores f1=450n,30. 1FR=f1+f6
como sacar el residuo de una multiplicación
Hallar las coordenadas de punto medio del segmento que une (4,7);(14,12)
Hola, podrias mencionar que tipo de multiplicación (normal, de vectores etc.).
si se aplica una traslación al punto E(0;2) se obtiene el punto E'(-1;-5),indicar el vector de translación
Traslaciones Juan es un diseñador gráfico y de acuerdo con las exigencias de uno de sus clientes debe reorganizar los elementos de uno de los avisos publicitarios observemos en la ilustración los cambios y desplazamientos que realizo.
En la ilustración el barco se trasladó dos unidades hacia arriba.
Una traslación es el desplazamiento de una figura sobre un plano sin girarla en ninguna dirección para indicar una traslación usamos una flecha que muestra el sentido hacia donde se hace el movimiento:
Derecha , izquierda, arriba, abajo, occidente, Oriente, Norte o sur) y la magnitud (número de unidades que se mueve la figura).
En el aviso publicitario,? Cuál de los siguientes desplazamientos se realizó con el logo del pez? Márcalo con x
Vectores 400n+horizontal y a la izquierda