Sea
un vector diferente de cero, dicho vector tiene alguna magnitud, dirección y sentido. En muchas ocasiones por razones de simplificación de cálculos, es necesario generar a otro vector que tenga la misma dirección y sentido que
, pero con magnitud uno (unitario), por esta razón hacemos uso de un proceso llamado normalización.
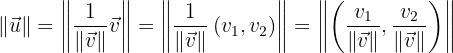
Normalizar un vector
Normalizar, consite en tomar a un vector
distinto de cero, y con él obtener un vector
, de la misma dirección y sentido que
pero con magnitud uno.
- Primero tomamos a un vector
diferente de cero - Ahora calculamos su magnitud ( la cual debe ser diferente de cero)
- Mutiplicamos a
por el recíproco de la magnitud, y el vector que nos queda es 
Comprobemos entonces que la magnitud de
es uno.
esto comprueba que el vector obtenido tiene las características deseadas
Ejemplos de problemas de normalización
1 Si
, hallar un vector unitario de su misma dirección y sentido.
Solución:
entonces
Es importante mencionar que el proceso también es válido para dimensiones
, como se analiza en el siguiente ejemplo.
2 Si
, hallar un vector unitario de su misma dirección y sentido.
Solución:
entonces

Resumir con IA:









Apuntes es una plataforma dirigida al estudio y la práctica de las matemáticas a través de la teoría y ejercicios interactivos que ponemos a vuestra disposición. Esta información está disponible para todo aquel/aquella que quiera profundizar en el aprendizaje de esta ciencia. Será un placer ayudaros en caso de que tengáis dudas frente algún problema, sin embargo, no realizamos un ejercicio que nos presentéis de 0 sin que hayáis si quiera intentado resolverlo. Ánimo, todo esfuerzo tiene su recompensa.
Suma de vectores f1=450n,30. 1FR=f1+f6
como sacar el residuo de una multiplicación
Hallar las coordenadas de punto medio del segmento que une (4,7);(14,12)
Hola, podrias mencionar que tipo de multiplicación (normal, de vectores etc.).
si se aplica una traslación al punto E(0;2) se obtiene el punto E'(-1;-5),indicar el vector de translación
Traslaciones Juan es un diseñador gráfico y de acuerdo con las exigencias de uno de sus clientes debe reorganizar los elementos de uno de los avisos publicitarios observemos en la ilustración los cambios y desplazamientos que realizo.
En la ilustración el barco se trasladó dos unidades hacia arriba.
Una traslación es el desplazamiento de una figura sobre un plano sin girarla en ninguna dirección para indicar una traslación usamos una flecha que muestra el sentido hacia donde se hace el movimiento:
Derecha , izquierda, arriba, abajo, occidente, Oriente, Norte o sur) y la magnitud (número de unidades que se mueve la figura).
En el aviso publicitario,? Cuál de los siguientes desplazamientos se realizó con el logo del pez? Márcalo con x
Vectores 400n+horizontal y a la izquierda