Elige la opción correcta (Módulo):

Selecciona una respuesta.
El módulo de un vector se calcula sumando los cuadrados de sus entradas y luego obteniendo la raíz cuadrada, es decir, el módulo de
esta dado por 

Selecciona una respuesta.
EL módulo de un vector se calcula sumando los cuadrados de sus entradas y luego obteniendo la raíz cuadrada, es decir, el módulo de
esta dado por

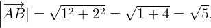
Dados los puntos
y 
Selecciona una respuesta.
Primero debemos hallar el vector que determinan los puntos
y
, esto lo hacemos de la siguiente forma

Ahora debemos obtener la norma de
tal cual lo hicimos en los ejercicios previos,


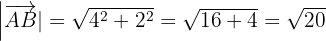
Dados los puntos
y 
Selecciona una respuesta.
Primero debemos hallar el vector que determinan los puntos
y
, esto lo hacemos de la siguiente forma

Ahora debemos obtener la norma de
tal cual lo hicimos en los ejercicios previos,

Elige la opción correcta (Distancia entre dos puntos):
La distancia entre
y
es ...
Selecciona una respuesta.
Recordemos que la distancia entre dos puntos se define como el módulo del vector que dichos puntos determinan. Por lo tanto primero hallamos el vector
,

Ahora debemos obtener el módulo de
para obtener la distancia entre los puntos,

La distancia entre
y
es ...
Selecciona una respuesta.
Recordemos que la distancia entre dos puntos se define como el módulo del vector que dichos puntos determinan. Por lo tanto primero hallamos el vector
,

Ahora debemos obtener el módulo de
para obtener la distancia entre los puntos,

La distancia entre
y
es ...
Selecciona una respuesta.
Recordemos que la distancia entre dos puntos se define como el módulo del vector que dichos puntos determinan. Por lo tanto primero hallamos el vector
,

Ahora debemos obtener el módulo de
para obtener la distancia entre los puntos,

La distancia entre
y
es ...
Selecciona una respuesta.
Recordemos que la distancia entre dos puntos se define como el módulo del vector que dichos puntos determinan. Por lo tanto primero hallamos el vector
,

Ahora debemos obtener el módulo de
para obtener la distancia entre los puntos,

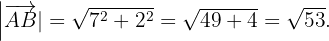
Elige la opción correcta (Módulo de un vector y Distancia entre dos puntos):
y 
Selecciona una respuesta.
Primero debemos plantear la ecuación en la cual obtendremos el valor de
. Dicha ecuación la obtenemos de calcular el módulo de
, el cual esta dado por

Dado que el módulo también es igual a
, entonces



y 
Selecciona una respuesta.
Primero debemos plantear la ecuación en la cual obtendremos el valor de
. Dicha ecuación la obtenemos de calcular el módulo de
, el cual esta dado por

Dado que el módulo también es igual a
, entonces



,
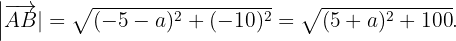
y
Selecciona una respuesta.
Primero debemos hallar el vector
, el cual esta dado por

Ahora para plantear la ecuación de la cual obtendremos el valor de
, calculamos el módulo de
,

Dado que este valor también es igual a
, entonces




,
y
Selecciona una respuesta.
Primero debemos hallar el vector
, el cual esta dado por

Ahora para plantear la ecuación de la cual obtendremos el valor de
, calculamos el módulo de
,

Dado que este valor también es igual a
, entonces




Si tienes dudas puedes consultar la teoría
Resumir con IA:

Apuntes es una plataforma dirigida al estudio y la práctica de las matemáticas a través de la teoría y ejercicios interactivos que ponemos a vuestra disposición. Esta información está disponible para todo aquel/aquella que quiera profundizar en el aprendizaje de esta ciencia. Será un placer ayudaros en caso de que tengáis dudas frente algún problema, sin embargo, no realizamos un ejercicio que nos presentéis de 0 sin que hayáis si quiera intentado resolverlo. Ánimo, todo esfuerzo tiene su recompensa.
Suma de vectores f1=450n,30. 1FR=f1+f6
como sacar el residuo de una multiplicación
Hallar las coordenadas de punto medio del segmento que une (4,7);(14,12)
Hola, podrias mencionar que tipo de multiplicación (normal, de vectores etc.).
si se aplica una traslación al punto E(0;2) se obtiene el punto E'(-1;-5),indicar el vector de translación
Traslaciones Juan es un diseñador gráfico y de acuerdo con las exigencias de uno de sus clientes debe reorganizar los elementos de uno de los avisos publicitarios observemos en la ilustración los cambios y desplazamientos que realizo.
En la ilustración el barco se trasladó dos unidades hacia arriba.
Una traslación es el desplazamiento de una figura sobre un plano sin girarla en ninguna dirección para indicar una traslación usamos una flecha que muestra el sentido hacia donde se hace el movimiento:
Derecha , izquierda, arriba, abajo, occidente, Oriente, Norte o sur) y la magnitud (número de unidades que se mueve la figura).
En el aviso publicitario,? Cuál de los siguientes desplazamientos se realizó con el logo del pez? Márcalo con x
Vectores 400n+horizontal y a la izquierda