Si
y
son los puntos medios de los lados de un triángulo, ¿cuáles son las coordenadas de los vértices del triángulo?
1Graficamos los puntos medios del triángulo y representamos los vértices 

2De la fórmula de punto medio se obtiene para la primera coordenada

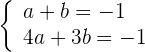
Restamos la segunda ecuación de la primera y el resultado lo restamos de la tercera, obteniendo


Luego
y 
3De la fórmula de punto medio se obtiene para la segunda coordenada

Restamos la segunda ecuación de la primera y el resultado lo restamos de la tercera, obteniendo


Luego
y 
4Así, los vértices son: 
Probar que los puntos:
y
pertenecen a una circunferencia de centro
.
1Los puntos de una circunferencia equidistan del centro, por lo que hay que verificar que las distancias de los puntos al centro sea la misma
2Calculamos las distancias




De esta forma se garantiza que los cuatro puntos pertenecen a una circunferencia con centro 
Clasificar el triángulo determinado por los puntos:
.
1Graficamos los puntos

2Calculamos las distancias de los lados



De esta forma se garantiza que el triángulo es isósceles
3Clasificamos de acuerdo a sus ángulos:
Si
entonces es acutángulo.
Si
entonces es rectángulo.
Si
entonces es obtusángulo.
Como
entonces es obtusángulo.
Normalizar los siguientes vectores:
.
1Para normalizar un vector, tenemos que dividir cada coordenada del vector entre la longitud del vector.
2Calculamos las longitudes de los vectores



3Normalizamos los vectores
.
.
.
Hallar
si el ángulo que forma
con
vale: a)
, b)
, c) 
1Para el ángulo de
se requiere que
. Sustituimos los valores de los vectores y resolvemos para 

2Para el ángulo de
se requiere que
. Sustituimos los valores de las coordenadas de los vectores y resolvemos para 

3Para el ángulo de
se requiere que
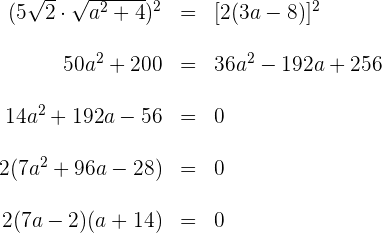
. Sustituimos los valores de las coordenadas de los vectores en la ecuación para el ángulo formado por dos rectas y resolvemos para 

Elevamos ambos lados al cuadrado

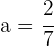
Así, los valores buscados son
y 
Calcula la proyección del vector
sobre el vector
, siendo
.
1Representamos graficamente

2Para calcular la proyección empleamos
. Sustituimos los valores de las coordenadas de los vectores y resolvemos

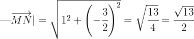
Comprobar que el segmento de une los puntos medios de los lados
y
del triángulo:
, es paralelo al lado
e igual a su mitad.
1Representamos graficamente

2Calculamos el vector 

3Calculamos los puntos medios de
y 


4Calculamos el vector 

5Dos vectores son paralelos si el ángulo que forman es de 

Luego los vectores son paralelos.
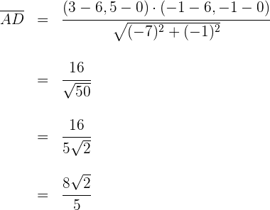
6Calculamos las longitudes de los vectores
y 


Luego la longitud de
e la mitad de 
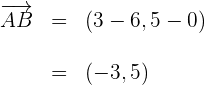
Calcular los ángulos del triángulo de vértices:
.
1Representamos graficamente

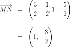
2Calculamos los vectores 




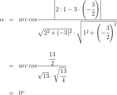
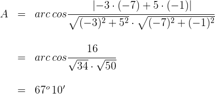
3Calculamos el ángulo
formado por los vectores 

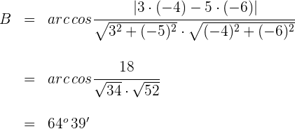
4Calculamos el ángulo
formado por los vectores 

5Calculamos el ángulo 

Dados los vectores
que constituyen una base. Expresar en esta base el vector
.
1Escribimos
como combinación lineal de
y 

2Sustituimos los vectores y desarrollamos

3Obtenemos el sistema de ecuaciones

Multiplicamos la primera ecuación por cuatro y le restamos la segunda, obteniendo

Sustituimos el valor obtenido en cualquiera de las dos ecuaciones, se obtiene 
4La combinación lineal buscada es

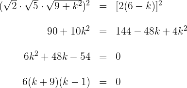
Calcular el valor de
para que los vectores
y
formen un ángulo de
.
1Para el ángulo de
se requiere que
. Sustituimos los valores de las coordenadas de los vectores en la ecuación para el ángulo formado por dos rectas y resolvemos para 

2Elevamos ambos lados al cuadrado

Así, los valores buscados son
y 
Resumir con IA:

Apuntes es una plataforma dirigida al estudio y la práctica de las matemáticas a través de la teoría y ejercicios interactivos que ponemos a vuestra disposición. Esta información está disponible para todo aquel/aquella que quiera profundizar en el aprendizaje de esta ciencia. Será un placer ayudaros en caso de que tengáis dudas frente algún problema, sin embargo, no realizamos un ejercicio que nos presentéis de 0 sin que hayáis si quiera intentado resolverlo. Ánimo, todo esfuerzo tiene su recompensa.
Suma de vectores f1=450n,30. 1FR=f1+f6
como sacar el residuo de una multiplicación
Hallar las coordenadas de punto medio del segmento que une (4,7);(14,12)
Hola, podrias mencionar que tipo de multiplicación (normal, de vectores etc.).
si se aplica una traslación al punto E(0;2) se obtiene el punto E'(-1;-5),indicar el vector de translación
Traslaciones Juan es un diseñador gráfico y de acuerdo con las exigencias de uno de sus clientes debe reorganizar los elementos de uno de los avisos publicitarios observemos en la ilustración los cambios y desplazamientos que realizo.
En la ilustración el barco se trasladó dos unidades hacia arriba.
Una traslación es el desplazamiento de una figura sobre un plano sin girarla en ninguna dirección para indicar una traslación usamos una flecha que muestra el sentido hacia donde se hace el movimiento:
Derecha , izquierda, arriba, abajo, occidente, Oriente, Norte o sur) y la magnitud (número de unidades que se mueve la figura).
En el aviso publicitario,? Cuál de los siguientes desplazamientos se realizó con el logo del pez? Márcalo con x
Vectores 400n+horizontal y a la izquierda