Razón o Relación
La razón o relación entre dos segmentos
y
, no es más que el cociente del
primero sobre el segundo, es decir, dos segmentos están en la relación
si
División de un segmento en una relación dada
Dividir un segmento
en una relación dada
significa determinar un punto
de la recta
que contiene al segmento AB, de modo que las dos partes,
y
, están en la relación 
Ejemplos:
1 ¿Qué puntos
y
dividen al segmento de extremos 
y
en tres partes iguales?

y
dividen el segmento
en tres partes iguales, podemos concluir que tenemos dos relaciones. La primera para los segmentos
y
éstos se encuentran en una relación de un tercio, esto es
Si el punto
tiene coordenadas
, entonces de la relación anterior se sigue que
De esto se tiene

Y concluimos que 
La segunda relación la encontramos entre los segmentos
y
, los cuales están en una relación de 
Si el punto
tiene coordenadas
, entonces de la relación anterior se sigue que
De esto se tiene

Así, podemos concluir que
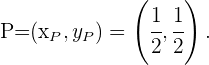
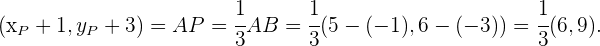
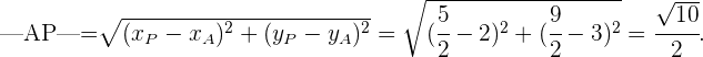
2 Considere el segmento
con extremos
y
Determinar el tamaño del segmento
donde el punto
es punto medio del segmento 
es punto medio entonces los segmentos
y
están en relación
Así, tenemos que
Esto último nos deja lo siguiente
Entonces,
Con las coordenadas de los puntos
y
podemos calcular el tamaño del segmento,
3 ¿Qué punto
divide al segmento de extremos
y
en dos partes iguales?
divide el segmento
en dos partes iguales, podemos concluir que tenemos la siguiente relación para los segmentos
y
los cuales se encuentran en relación de
, es decir,
Si el punto
tiene coordenadas
entonces de la relación anterior se sigue que
De esto se tiene

Y concluimos que 
Resumir con IA:









Apuntes es una plataforma dirigida al estudio y la práctica de las matemáticas a través de la teoría y ejercicios interactivos que ponemos a vuestra disposición. Esta información está disponible para todo aquel/aquella que quiera profundizar en el aprendizaje de esta ciencia. Será un placer ayudaros en caso de que tengáis dudas frente algún problema, sin embargo, no realizamos un ejercicio que nos presentéis de 0 sin que hayáis si quiera intentado resolverlo. Ánimo, todo esfuerzo tiene su recompensa.
Suma de vectores f1=450n,30. 1FR=f1+f6
como sacar el residuo de una multiplicación
Hallar las coordenadas de punto medio del segmento que une (4,7);(14,12)
Hola, podrias mencionar que tipo de multiplicación (normal, de vectores etc.).
si se aplica una traslación al punto E(0;2) se obtiene el punto E'(-1;-5),indicar el vector de translación
Traslaciones Juan es un diseñador gráfico y de acuerdo con las exigencias de uno de sus clientes debe reorganizar los elementos de uno de los avisos publicitarios observemos en la ilustración los cambios y desplazamientos que realizo.
En la ilustración el barco se trasladó dos unidades hacia arriba.
Una traslación es el desplazamiento de una figura sobre un plano sin girarla en ninguna dirección para indicar una traslación usamos una flecha que muestra el sentido hacia donde se hace el movimiento:
Derecha , izquierda, arriba, abajo, occidente, Oriente, Norte o sur) y la magnitud (número de unidades que se mueve la figura).
En el aviso publicitario,? Cuál de los siguientes desplazamientos se realizó con el logo del pez? Márcalo con x
Vectores 400n+horizontal y a la izquierda