Capítulos
Bienvenidos al tema de coordenadas del punto medio. En este artículo, exploraremos un concepto fundamental en la geometría analítica: cómo encontrar el punto medio entre dos puntos en un plano cartesiano. Este concepto es esencial en diversos campos, desde la física hasta la ingeniería y la programación.
El punto medio de un segmento de línea es aquel que se encuentra exactamente a mitad de camino entre dos puntos dados. A través de fórmulas simples y una comprensión clara de las coordenadas cartesianas, podrás determinar fácilmente las coordenadas del punto medio. Además, estudiaremos ejemplos prácticos que te ayudarán a aplicar este conocimiento en situaciones reales.
¡Comencemos nuestro viaje hacia el entendimiento de las coordenadas del punto medio y su relevancia en el mundo de la geometría analítica!
Como determinar el punto medio
Consideremos el segmento
con extremos en los puntos
y
de la siguiente figura:

El punto medio es aquel punto
que está en el segmento
y que hace que el segmento
mida lo mismo que el segmento
, es decir,
El punto medio se calcula con la siguiente fórmula:
Se dice que el punto
es simétrico de
respecto a
si
es el punto medio del segmento
.
Punto que divide un segmento en una proporción dada
En general, si queremos encontrar un punto
que divida el segmento de recta de forma que cumpla una razón
entonces utilizamos
Ejercicios de coordenadas del punto medio
Halla las coordenadas del punto medio del segmento
donde los extremos son:
a
y
,
b
y
.
Para encontrar el punto medio, simplemente utilizamos la fórmula:
a Para el primer caso, tenemos

Por lo que el punto medio es
.
b Mientras que para el segundo caso, el punto medio es

Calcula:
a el punto simétrico de
respecto al punto
,
b el punto simétrico a
respecto de
.
a Denotemos al punto simétrico de
como
. Entonces
es el punto medio del segmento
. Por tanto, si
tiene coordenadas
, entonces
se calcula utilizando

Pero, además, se tiene que
. Por lo tanto,

Si multiplicamos por 2 ambas ecuaciones, obtenemos

Por lo tanto, al despejar tenemos
y
. Es decir, el punto simétrico es
.
b De forma similar, denotaremos al punto simétrico como
. Así,
se calcula utilizando

Pero, además, se tiene que
. Por lo tanto,

Si multiplicamos por 2 ambas ecuaciones, obtenemos

Por lo tanto, al despejar tenemos
y
. Es decir, el punto simétrico es
.
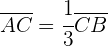
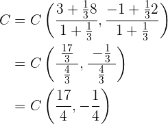
Calcula los puntos
y
que dividen al segmento
, cuyos extremos son
y
, en tres partes iguales
Notemos que debemos encontrar dos puntos
y
tales que

a Para encontrar el primer punto, notemos que la razón es

ya que el segmento del denominador mide el doble. Así, utilizamos la fórmula:

b Similarmente, para encontrar el segundo punto ahora la razón es

ya que, en este caso, el segmento del numerador mide el doble. Así, utilizamos la fórmula:

Por lo tanto, los puntos son
y
.
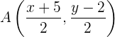
Encuentra las coordenadas del punto
, sabiendo que
es el punto medio de
y que 
Denotemos las coordenadas del punto
como
. Entonces,
se calcula utilizando

Además, tenemos que
. Por tanto, tenemos las ecuaciones

Si multiplicamos por 2 las ecuaciones, tenemos

Por lo tanto, al despejarlas, obtenemos que
y
. Así, el punto es

Encuentra las coordenadas del punto
que se encuentra cercano a
y colineal al segmento
, sabiendo que
y
mide lo mismo que 
Como
mide lo mismo que
, entonces
es el punto medio de
.
Denotemos las coordenadas del punto
como
. Entonces,
se calcula utilizando

Además, tenemos que
. Por tanto, tenemos las ecuaciones

Si multiplicamos por 2 las ecuaciones, tenemos

Por lo tanto, al despejarlas, obtenemos que
y
. Así, el punto es

Encuentra las coordenadas del punto
que se encuentra cercano a
y colineal al segmento
, sabiendo que
y
mide el doble que 
Como
mide el doble que
, entonces

Denotemos las coordenadas del punto
como
. Entonces,
se calcula utilizando

Además, tenemos que
. Por tanto, tenemos las ecuaciones

Si multiplicamos por 3 las ecuaciones, tenemos

Por lo tanto, al despejarlas, obtenemos que
y
. Así, el punto es

Considera el segmento
con extremos
y
. Encuentra las coordenadas del punto
que divide al segmento
en dos segmentos tales que
es la mitad de 
Como
es la mitad de
, entonces tenemos

Por tanto, sólo utilizamos la fórmula:

Así, el punto es
.
Si el segmento
con extremos
y
se divide en cuatro partes iguales, ¿cuáles son las coordenadas de los puntos de división?
Buscaremos 3 puntos
,
y
tales que

tal y como se muestra en la siguiente figura:

a Para calcular
, notemos que

ya que el segmento de
a
medirá la tercera parte del segmento que va de
a
. Así, utilizamos la fórmula para calcular
:

b Observemos que
es el punto medio entre
y
, por lo que se calcula utilizando

c Por último, para
tenemos

ya que el segmento de
a
medirá tres veces la longitud del segmento que va de
a
. Así, utilizamos la fórmula para calcular
:

Por lo tanto, lo puntos son

Si el segmento
con extremos
y
se divide en dos partes por un punto
de manera que
mide la tercera parte de
, ¿cuáles son las coordenadas de
?
Buscaremos el punto
tal que

Para calcular
, notemos que

ya que el segmento de
a
medirá la tercera parte del segmento que va de
a
. Así, utilizamos la fórmula para calcular
:

Es decir, el punto
es

Dados los puntos
y
, encuentra un punto
que esté alineado con
y
, y que cumpla con la relación

La fórmula que tenemos para puntos medios o puntos que parten un segmento en una razón dada siempre se utiliza con puntos colineales. Por lo tanto, utilizaremos esa fórmula.
Asimismo, veamos que ya se nos proporcionó la razón
, por lo que procedemos a utilizar la fórmula:

Es decir, el punto
es

Resumir con IA:









Apuntes es una plataforma dirigida al estudio y la práctica de las matemáticas a través de la teoría y ejercicios interactivos que ponemos a vuestra disposición. Esta información está disponible para todo aquel/aquella que quiera profundizar en el aprendizaje de esta ciencia. Será un placer ayudaros en caso de que tengáis dudas frente algún problema, sin embargo, no realizamos un ejercicio que nos presentéis de 0 sin que hayáis si quiera intentado resolverlo. Ánimo, todo esfuerzo tiene su recompensa.
Suma de vectores f1=450n,30. 1FR=f1+f6
como sacar el residuo de una multiplicación
Hallar las coordenadas de punto medio del segmento que une (4,7);(14,12)
Hola, podrias mencionar que tipo de multiplicación (normal, de vectores etc.).
si se aplica una traslación al punto E(0;2) se obtiene el punto E'(-1;-5),indicar el vector de translación
Traslaciones Juan es un diseñador gráfico y de acuerdo con las exigencias de uno de sus clientes debe reorganizar los elementos de uno de los avisos publicitarios observemos en la ilustración los cambios y desplazamientos que realizo.
En la ilustración el barco se trasladó dos unidades hacia arriba.
Una traslación es el desplazamiento de una figura sobre un plano sin girarla en ninguna dirección para indicar una traslación usamos una flecha que muestra el sentido hacia donde se hace el movimiento:
Derecha , izquierda, arriba, abajo, occidente, Oriente, Norte o sur) y la magnitud (número de unidades que se mueve la figura).
En el aviso publicitario,? Cuál de los siguientes desplazamientos se realizó con el logo del pez? Márcalo con x
Vectores 400n+horizontal y a la izquierda