Expresa el vector
como combinación lineal de los vectores:
.
Expresa el vector
como combinación lineal de los vectores:
.
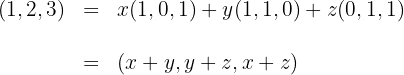
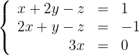
1 Expresamos el vector
como combinación lineal de 
.
2 Sustituimos los valores de los vectores

3 Obtenemos el sistema de ecuaciones

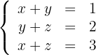
4 Sumamos miembro a miembro las tres ecuaciones y simplificamos la ecuación obtenida se le resta cada una de las ecuaciones

5 A la ecuación obtenida se le resta cada una de las tres ecuaciones y se obtiene

6 La combinación lineal es

Siendo
, demostrar que dichos vectores son linealmente independientes y expresa el vector
como combinación lineal de dichos vectores.
Siendo
, demostrar que dichos vectores son linealmente independientes y expresa el vector
como combinación lineal de dichos vectores.
1Calculamos el determinante de 

Como el determinante es distinto de cero, entonces
son linealmente independientes.
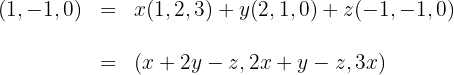
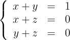
2 Expresamos el vector
como combinación lineal de 
.
3 Sustituimos los valores de los vectores

4 Obtenemos el sistema de ecuaciones

5 Sumamos miembro a miembro las tres ecuaciones y simplificamos la ecuación obtenida se le resta cada una de las ecuaciones

6 A la ecuación obtenida se le resta cada una de las tres ecuaciones y se obtiene

7 La combinación lineal es

Dados los vectores
, demostrar que dichos vectores forman una base y calcula las coordenadas del vector
respecto de dicha base.
Dados los vectores
, demostrar que dichos vectores forman una base y calcula las coordenadas del vector
respecto de dicha base.
1Calculamos el determinante de 

Como el determinante es distinto de cero, entonces
son linealmente independientes y forman una base.
2 Expresamos el vector
como combinación lineal de 
.
3 Sustituimos los valores de los vectores

4 Obtenemos el sistema de ecuaciones

5 Resolviendo el sistema de ecuaciones se obtiene

6 La combinación lineal es

Dados los vectores:
. Demostrar que forman una base y hallar las coordenadas de los vectores de la base canónica respecto de esta base.
Dados los vectores:
. Demostrar que forman una base y hallar las coordenadas de los vectores de la base canónica respecto de esta base.
1Calculamos el determinante de 

Como el determinante es distinto de cero, entonces
son linealmente independientes y forman una base.
2 Expresamos el vector canónico
como combinación lineal de 
.
3 Obtenemos el sistema de ecuaciones

4 Resolviendo el sistema de ecuaciones se obtiene

5 Las coordenadas del vector canónico
respecto a la nueva base es:

6 Repitiendo los pasos 2 a 5, las coordenadas de los vectores canónicos
respecto a la nueva base son:


Determinar el valor del parámetro k para que los vectores
sean ortogonales:
Determinar el valor del parámetro k para que los vectores
sean ortogonales:
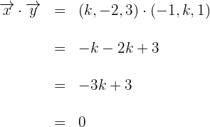
1Para que los vectores sean ortogonales su producto escalar tiene que ser igual a cero

2El resultado de la igualdad
es
, el cual es el valor buscado.
Dados los puntos
, hallar los valores de
para que los puntos estén alineados. Si los puntos son tres vértices de un paralelogramo de área 3, ¿cuáles son los valores de
?
Dados los puntos
, hallar los valores de
para que los puntos estén alineados. Si los puntos son tres vértices de un paralelogramo de área 3, ¿cuáles son los valores de
?
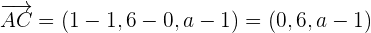
1Calculamos los vectores 


2Si
están alineados los vectores
tienen la misma dirección, por lo que son linealmente dependientes y tienen sus componentes proporcionales

3Igualando coordenadas obtenemos

4Si los puntos son vértices de un paralelogramo, entonces el módulo del producto vectorial de
es igual al área del paralelogramo construido sobre 

5Igualamos el área a 3 y obtenemos


Hallar dos vectores de módulo la unidad y ortogonales a
y
.
Hallar dos vectores de módulo la unidad y ortogonales a
y
.
1Calculamos el módulo del producto vectorial de ambos vectores

2Los vectores unitarios ortogonales unitarios son

Hallar un vector unitario y perpendicular a
y
.
Hallar un vector unitario y perpendicular a
y
.
1Calculamos el producto vectorial de ambos vectores, el cual es perpendicular a
y 

2Calculamos el módulo del vector anterior

3El vector unitario es

Resumir con IA:

Apuntes es una plataforma dirigida al estudio y la práctica de las matemáticas a través de la teoría y ejercicios interactivos que ponemos a vuestra disposición. Esta información está disponible para todo aquel/aquella que quiera profundizar en el aprendizaje de esta ciencia. Será un placer ayudaros en caso de que tengáis dudas frente algún problema, sin embargo, no realizamos un ejercicio que nos presentéis de 0 sin que hayáis si quiera intentado resolverlo. Ánimo, todo esfuerzo tiene su recompensa.
Suma de vectores f1=450n,30. 1FR=f1+f6
como sacar el residuo de una multiplicación
Hallar las coordenadas de punto medio del segmento que une (4,7);(14,12)
Hola, podrias mencionar que tipo de multiplicación (normal, de vectores etc.).
si se aplica una traslación al punto E(0;2) se obtiene el punto E'(-1;-5),indicar el vector de translación
Traslaciones Juan es un diseñador gráfico y de acuerdo con las exigencias de uno de sus clientes debe reorganizar los elementos de uno de los avisos publicitarios observemos en la ilustración los cambios y desplazamientos que realizo.
En la ilustración el barco se trasladó dos unidades hacia arriba.
Una traslación es el desplazamiento de una figura sobre un plano sin girarla en ninguna dirección para indicar una traslación usamos una flecha que muestra el sentido hacia donde se hace el movimiento:
Derecha , izquierda, arriba, abajo, occidente, Oriente, Norte o sur) y la magnitud (número de unidades que se mueve la figura).
En el aviso publicitario,? Cuál de los siguientes desplazamientos se realizó con el logo del pez? Márcalo con x
Vectores 400n+horizontal y a la izquierda