Calcula las coordenadas del punto medio del segmento formado por los siguientes pares de puntos (Punto medio):
y 
,
Este campo es obligatorio.
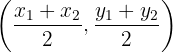
Utilizando la formula del punto medio, donde, el punto medio de los puntos
y
es

Tendremos que las coordenadas en
son

Es decir, la solución es
.
Calcula las coordenadas del punto medio del segmento formado por los siguientes pares de puntos (Punto medio):
y 
,
Este campo es obligatorio.
Usando la formula del punto medio, calculamos las coordenadas de
:
Calcula las coordenadas del punto medio del segmento formado por los siguientes pares de puntos (Punto medio):

Es decir, el punto medio es
.
y 
,
Este campo es obligatorio.
Nuevamente utilizando la formula del punto medio, tenemos que las coordenadas son

Y por tanto el punto medio es
.
Calcula las coordenadas del punto medio del segmento formado por los siguientes pares de puntos (Punto medio):
y 
,
Este campo es obligatorio.
Calculamos las coordenadas del punto medio

Y de aquí el punto medio es
.
Calcula las coordenadas de los puntos que faltan considerando los datos proporcionados (Punto medio):
y 
,
Este campo es obligatorio.
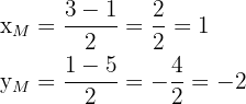
Tenemos un punto B y las coordenadas del punto medio, con esto y haciendo uso de la formula del punto medio calculamos el punto faltante.

Por tanto el punto es
.
Calcula las coordenadas de los puntos que faltan considerando los datos proporcionados (Punto medio):
y 
,
Este campo es obligatorio.
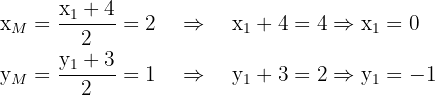
Nuevamente usamos la formula del punto medio
Es decir, el punto faltante es
.
Calcula las coordenadas de los puntos que faltan considerando los datos proporcionados (Punto medio):
y 
,
Este campo es obligatorio.
Tendremos
Y el otro punto es
.
Calcula las coordenadas de los puntos que faltan considerando los datos proporcionados (Punto medio):
y 
,
Este campo es obligatorio.
Similarmente
Obteniendo
.
Hallar las coordenadas del baricentro de los triángulos cuyos vértices son: (Baricentro):
y 
,
Este campo es obligatorio.
Recordemos que el baricentro es el punto de corte de las tres medianas. Las medianas de un triángulo son las rectas que unen el punto medio de un lado del triángulo con el vértice opuesto. Recordemos también que las coordenadas del baricentro de un triangulo con vértices
, son
Por tanto, utilizando lo anterior buscamos las coordenadas del baricentro
Es decir, el baricentro se encuentra en
.
Hallar las coordenadas del baricentro de los triángulos cuyos vértices son: (Baricentro):
y 
,
Este campo es obligatorio.
Igual que el ejercicio anterior
Por tanto, el baricentro se encuentra en
.
Si tienes dudas puedes consultar la teoría aquí y aquí
Resumir con IA:

Apuntes es una plataforma dirigida al estudio y la práctica de las matemáticas a través de la teoría y ejercicios interactivos que ponemos a vuestra disposición. Esta información está disponible para todo aquel/aquella que quiera profundizar en el aprendizaje de esta ciencia. Será un placer ayudaros en caso de que tengáis dudas frente algún problema, sin embargo, no realizamos un ejercicio que nos presentéis de 0 sin que hayáis si quiera intentado resolverlo. Ánimo, todo esfuerzo tiene su recompensa.
Suma de vectores f1=450n,30. 1FR=f1+f6
como sacar el residuo de una multiplicación
Hallar las coordenadas de punto medio del segmento que une (4,7);(14,12)
Hola, podrias mencionar que tipo de multiplicación (normal, de vectores etc.).
si se aplica una traslación al punto E(0;2) se obtiene el punto E'(-1;-5),indicar el vector de translación
Traslaciones Juan es un diseñador gráfico y de acuerdo con las exigencias de uno de sus clientes debe reorganizar los elementos de uno de los avisos publicitarios observemos en la ilustración los cambios y desplazamientos que realizo.
En la ilustración el barco se trasladó dos unidades hacia arriba.
Una traslación es el desplazamiento de una figura sobre un plano sin girarla en ninguna dirección para indicar una traslación usamos una flecha que muestra el sentido hacia donde se hace el movimiento:
Derecha , izquierda, arriba, abajo, occidente, Oriente, Norte o sur) y la magnitud (número de unidades que se mueve la figura).
En el aviso publicitario,? Cuál de los siguientes desplazamientos se realizó con el logo del pez? Márcalo con x
Vectores 400n+horizontal y a la izquierda