Vectores equipolentes
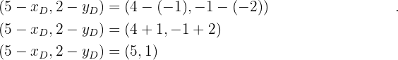
Dado el vector
, determinar dos vectores
y
equipolentes a
, , sabiendo que A(1, -3) y D(2, 0).
1
Por definición de equipolente, queremos
. Entonces

Lo que implica que

2
Por definición de equipolente, queremos
. Entonces

Lo que implica que

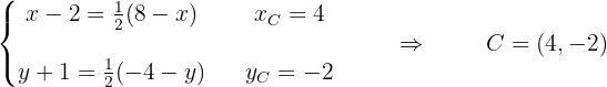
Calcula las coordenadas de D para que el cuadrilátero de vértices: A(−1, −2), B(4, −1), C(5, 2) y D; sea un paralelogramo.

Al ser paralelogramo, los vectores
y
deben ser equipolentes, es decir

Esto es 
Y así,

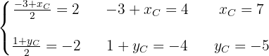
Las coordenadas de los extremos del segmento AB son: A (2, −1) y B(8, −4). Hallar las coordenadas del punto C que divide al segmento AB en dos partes tales que AC es la mitad de CB.
Queremos encontrar el punto C tal que AC es la mitad de CB, es decir,

Entonces,

Y así,

Hallar el simétrico del punto A(4, −2) respecto de M(2, 6).
Queremos hallar el simétrico de A respecto a M, por lo que lo vectores AM y MA' deben ser equipolentes

Entonces,

Y así,

Punto medio y baricentro
Dados los vértices de un triángulo A(1, 2), B(−3, 4) y C(−1, 6), hallar las coordenadas del baricentro.
Recordemos que las coordenadas del baricentro de un triángulo están dadas por

Por lo tanto en este caso, el baricentro es:

Si A(−3, 1), hallar las coordenadas del punto C, sabiendo que B(2, −2) es el punto medio de AC.
Recordamos que el punto medio entre
y
está dado por

Entonces

Lo que implica que

Y así el punto es 
Si el segmento AB de extremos A(1, 3), B(7, 5), se divide en cuatro partes iguales, ¿cuáles son las coordenadas de los puntos de división?

Recordamos que el punto medio entre
y
está dado por




Calcula el valor de k sabiendo que el módulo del vector
es 5.
Calculamos el módulo del vector y lo igualamos a 5

Elevamos al cuadrado para deshacernos de la raíz

Despejamos y sacamos raíz

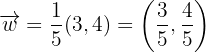
Si
es un vector de componentes (3, 4), hallar un vector unitario de su misma dirección y sentido.
Siempre que dividamos un vector por su módulo, obtendremos un vector unitario. Así que calcularemos el módulo

El vector unitario es

Averiguar si están alineados los puntos: A(−2, −3), B(1, 0) y C(6, 5).
Recordemos que 3 puntos están alineados si sus coordenadas son proporcionales

Entonces

Por lo tanto, los puntos sí se encuentran alineados
Resumir con IA:









Apuntes es una plataforma dirigida al estudio y la práctica de las matemáticas a través de la teoría y ejercicios interactivos que ponemos a vuestra disposición. Esta información está disponible para todo aquel/aquella que quiera profundizar en el aprendizaje de esta ciencia. Será un placer ayudaros en caso de que tengáis dudas frente algún problema, sin embargo, no realizamos un ejercicio que nos presentéis de 0 sin que hayáis si quiera intentado resolverlo. Ánimo, todo esfuerzo tiene su recompensa.
Suma de vectores f1=450n,30. 1FR=f1+f6
como sacar el residuo de una multiplicación
Hallar las coordenadas de punto medio del segmento que une (4,7);(14,12)
Hola, podrias mencionar que tipo de multiplicación (normal, de vectores etc.).
si se aplica una traslación al punto E(0;2) se obtiene el punto E'(-1;-5),indicar el vector de translación
Traslaciones Juan es un diseñador gráfico y de acuerdo con las exigencias de uno de sus clientes debe reorganizar los elementos de uno de los avisos publicitarios observemos en la ilustración los cambios y desplazamientos que realizo.
En la ilustración el barco se trasladó dos unidades hacia arriba.
Una traslación es el desplazamiento de una figura sobre un plano sin girarla en ninguna dirección para indicar una traslación usamos una flecha que muestra el sentido hacia donde se hace el movimiento:
Derecha , izquierda, arriba, abajo, occidente, Oriente, Norte o sur) y la magnitud (número de unidades que se mueve la figura).
En el aviso publicitario,? Cuál de los siguientes desplazamientos se realizó con el logo del pez? Márcalo con x
Vectores 400n+horizontal y a la izquierda