Capítulos
¿Cómo saber si una función es creciente o decreciente?
Una función
es estrictamente creciente en el intervalo
si
para todos los valores de
en
.
Una función
es estrictamente decreciente en el intervalo
si
para todos los valores de
en
.
Intervalos de crecimiento y decrecimiento
Para encontrar los intervalos
donde la función
es creciente o decreciente, se realiza lo siguiente:
1 Derivar la función.
2 Obtener las raíces de la derivada primera, esto es, encontrar los valores
que cumplen
.
3 Formar intervalos abiertos con los ceros (raíces) de la derivada primera y los puntos de discontinuidad (si los hubiese)
4 Elegir un valor de cada intervalo y hallar el signo que tiene en la derivada primera.
5 Elegir los intervalos de crecimiento y decrecimiento de acuerdo al signo obtenido en el paso anterior.
Ejercicios propuestos
Hallar los intervalos de crecimiento y decrecimiento para las siguientes funciones:

1 Derivamos la función

2 Calculamos las raíces de la derivada primera, para esto igualamos la derivada a cero y resolvemos para 

igualando los factores a cero, se tiene que las raíces son
.
3 Formamos intervalos abiertos con los ceros de la derivada primera, en este caso no existen puntos de discontinuidad. Nos apoyamos con la representación de los puntos en la recta real

Los intervalos que obtenemos son
y 
4 Tomamos un valor de cada intervalo (puedes tomar cualquier valor en el intervalo) y hallamos el signo que tiene en la derivada primera
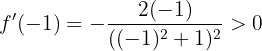
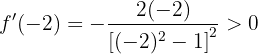
Para el intervalo
tomamos
y sustituimos en la derivada y obtenemos

Para el intervalo
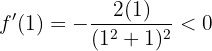
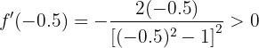
tomamos
, sustituimos en la derivada y obtenemos


5 Escribimos los intervalos de crecimiento y decrecimiento
De crecimiento: 
De decrecimiento: 


1 Derivamos la función

2 Calculamos las raíces de la derivada primera, para esto igualamos la derivada a cero y resolvemos para 

igualando los factores a cero, se tiene que las raíces son
.
3 Formamos intervalos abiertos con los ceros de la derivada primera, en este caso no existen puntos de discontinuidad. Nos apoyamos con la representación de los puntos en la recta real

Los intervalos que obtenemos son
y 
4 Tomamos un valor de cada intervalo (puedes tomar cualquier valor en el intervalo) y hallamos el signo que tiene en la derivada primera
Para el intervalo
tomamos
, sustituimos en la derivada y obtenemos

Para el intervalo
tomamos
, sustituimos en la derivada y obtenemos

Para el intervalo
tomamos
, sustituimos en la derivada y obtenemos


5 Escribimos los intervalos de crecimiento y decrecimiento
De crecimiento: 
De decrecimiento: 


1 Derivamos la función

2 Calculamos las raíces de la derivada primera, para esto igualamos la derivada a cero y resolvemos para 

igualando los factores a cero, se tiene que las raíces son
.
3 Formamos intervalos abiertos con los ceros de la derivada primera, en este caso no existen puntos de discontinuidad. Nos apoyamos con la representación de los puntos en la recta real

Los intervalos que obtenemos son
y 
4 Tomamos un valor de cada intervalo (puedes tomar cualquier valor en el intervalo) y hallamos el signo que tiene en la derivada primera
Para el intervalo
tomamos
, sustituimos en la derivada y obtenemos

Para el intervalo
tomamos
, sustituimos en la derivada y obtenemos

Para el intervalo
tomamos
, sustituimos en la derivada y obtenemos

Para el intervalo
tomamos
, sustituimos en la derivada y obtenemos


5 Escribimos los intervalos de crecimiento y decrecimiento
De decrecimiento: 
De crecimiento: 


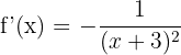
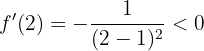
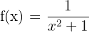
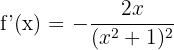
1 Derivamos la función

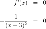
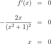
2 Calculamos las raíces de la derivada primera (si existen), para esto igualamos la derivada a cero y resolvemos para 

no existen valores de
en los números reales que satisfagan la ecuación anterior, por tanto la derivada primera no posee raíces. Observamos que la función y su derivada poseen una discontinuidad en
.
3 Formamos intervalos abiertos con la discontinuidad, en este caso no existen ceros de la derivada. Nos apoyamos con la representación de los puntos en la recta real

Los intervalos que obtenemos son
y 
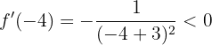
4 Tomamos un valor de cada intervalo (puedes tomar cualquier valor en el intervalo) y hallamos el signo que tiene en la derivada primera
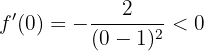
Para el intervalo
tomamos
, sustituimos en la derivada y obtenemos

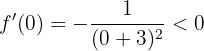
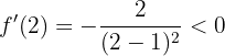
Para el intervalo
tomamos
, sustituimos en la derivada y obtenemos


5 Escribimos los intervalos de crecimiento y decrecimiento
De crecimiento: 
De decrecimiento: 


1 Derivamos la función

2 Calculamos las raíces de la derivada primera (si existen), para esto igualamos la derivada a cero y resolvemos para 

no existen valores de
en los números reales que satisfagan la ecuación anterior, por tanto la derivada primera no posee raíces. Observamos que la función y su derivada poseen una discontinuidad en
.
3 Formamos intervalos abiertos con la discontinuidad, en este caso no existen ceros de la derivada. Nos apoyamos con la representación de los puntos en la recta real

Los intervalos que obtenemos son
y 
4 Tomamos un valor de cada intervalo (puedes tomar cualquier valor en el intervalo) y hallamos el signo que tiene en la derivada primera
Para el intervalo
tomamos
, sustituimos en la derivada y obtenemos

Para el intervalo
tomamos
, sustituimos en la derivada y obtenemos

5 Como al evaluar en la derivada el resultado siempre fue negativo, entonces solamente se tienen intervalos de decrecimiento
De decrecimiento: 


1 Primero simplificamos la función y derivamos


2 Calculamos las raíces de la derivada primera (si existen), para esto igualamos la derivada a cero y resolvemos para 

es el único valor que satisface la ecuación anterior. Observamos que la función posee discontinuidad en
.
3 Formamos intervalos abiertos con las discontinuidades y el cero de la derivada. Nos apoyamos con la representación de los puntos en la recta real

Los intervalos que obtenemos son 
4 Tomamos un valor de cada intervalo (puedes tomar cualquier valor en el intervalo) y hallamos el signo que tiene en la derivada primera
Para el intervalo
tomamos
, sustituimos en la derivada y obtenemos

Para el intervalo
tomamos
, sustituimos en la derivada y obtenemos

5 Escribimos los intervalos de crecimiento y decrecimiento
De crecimiento: 
De decrecimiento: 


1 Derivamos la función

2 Calculamos las raíces de la derivada primera, para esto igualamos la derivada cero y resolvemos para 

igualando los factores a cero, se tiene que las raíces son
.
no existen valores de
en los números reales que satisfagan la ecuación anterior, por tanto la derivada primera no posee raíces. Observamos que la función y su derivada poseen una discontinuidad en
.
3 Formamos intervalos abiertos con la discontinuidad, en este caso no existen ceros de la derivada. Nos apoyamos con la representación de los puntos en la recta real

Los intervalos que obtenemos son
y 
4 Tomamos un valor de cada intervalo (puedes tomar cualquier valor en el intervalo) y hallamos el signo que tiene en la derivada primera
Para el intervalo
tomamos
, sustituimos en la derivada y obtenemos

Para el intervalo
tomamos
, sustituimos en la derivada y obtenemos


5 Como al evaluar en la derivada el resultado siempre fue negativo, entonces solamente se tienen intervalos de crecimiento
De decrecimiento: 


1 Derivamos la función

2 Calculamos las raíces de la derivada primera (si existen), para esto igualamos la derivada a cero y resolvemos para 

3 Formamos intervalos abiertos con los ceros de la derivada. Nos apoyamos con la representación de los puntos en la recta real

Los intervalos que obtenemos son
y 
4 Tomamos un valor de cada intervalo (puedes tomar cualquier valor en el intervalo) y hallamos el signo que tiene en la derivada primera
Para el intervalo
tomamos
, sustituimos en la derivada y obtenemos

Para el intervalo
tomamos
, sustituimos en la derivada y obtenemos


5 Escribimos los intervalos de crecimiento y decrecimiento
De crecimiento: 
De decrecimiento: 


1 Derivamos la función

2 Calculamos las raíces de la derivada primera (si existen), para esto igualamos la derivada a cero y resolvemos para 

no existen valores de
en los números reales que satisfagan la ecuación anterior, por tanto la derivada primera no posee raíces. Observamos que la función y su derivada poseen una discontinuidad en
.
3 Formamos intervalos abiertos con la discontinuidad, en este caso no existen ceros de la derivada. Nos apoyamos con la representación de los puntos en la recta real

Los intervalos que obtenemos son
y 
4 Tomamos un valor de cada intervalo (puedes tomar cualquier valor en el intervalo) y hallamos el signo que tiene en la derivada primera
Para el intervalo
tomamos
, sustituimos en la derivada y obtenemos

Para el intervalo
tomamos
, sustituimos en la derivada y obtenemos


5 Como al evaluar en la derivada el resultado siempre fue negativo, entonces solamente se tienen intervalos de decrecimiento
De decrecimiento: 


1 Derivamos la función

2 Calculamos las raíces de la derivada primera (si existen), para esto igualamos la derivada a cero y resolvemos para 

es el único valor que satisface la ecuación anterior. Observamos que la función y su derivada poseen discontinuidades en
.
3 Formamos intervalos abiertos con las discontinuidades y el cero de la derivada. Nos apoyamos con la representación de los puntos en la recta real

Los intervalos que obtenemos son
y 
4 Tomamos un valor de cada intervalo (puedes tomar cualquier valor en el intervalo) y hallamos el signo que tiene en la derivada primera
Para el intervalo
tomamos
, sustituimos en la derivada y obtenemos

Para el intervalo
tomamos
, sustituimos en la derivada y obtenemos

Para el intervalo
tomamos
, sustituimos en la derivada y obtenemos

Para el intervalo
tomamos
, sustituimos en la derivada y obtenemos


5 Escribimos los intervalos de crecimiento y decrecimiento
De crecimiento: 
De decrecimiento: 

Para consultar más ejercicios pulsa aqui.
Resumir con IA:









Apuntes es una plataforma dirigida al estudio y la práctica de las matemáticas a través de la teoría y ejercicios interactivos que ponemos a vuestra disposición. Esta información está disponible para todo aquel/aquella que quiera profundizar en el aprendizaje de esta ciencia. Será un placer ayudaros en caso de que tengáis dudas frente algún problema, sin embargo, no realizamos un ejercicio que nos presentéis de 0 sin que hayáis si quiera intentado resolverlo. Ánimo, todo esfuerzo tiene su recompensa.
cordial saludo sera que tu me puedes ayudar a resolver un ejercicio que es dada la función f(x)= X elevada a la 2/3 por entre paréntesis (xa la 2 -8) hallar los valores de X para los cuales esta crece te lo agradecería mucho
La descripcion es erronea donde da la derivada de arcocotangente, ya que dice derivada de arcotangete, se comieron el co, lo que puede llevar a confunciones, como en mi caso que pense que era la derivada de la inversa de tangente, cuando era la derivada de la inversa de cotangente.
Hola entendemos la confusión, pero como sabes en cada lugar toman la notación en forma diferente, en este caso se tomo arccot(x) donde se repite la c para diferenciar de arctan(x).
me pueden ayudar encontrar la derivada de : y=7 elevado a la 4 + e elevado a la x-4 – ln X + 100
Medio tarde me parece mi respuesta, pero simplemente tenes que derivar cada termino independientemente:
7^4=(7.4)^3
e^x-4=e^x-4 (por formula)
lnx=1/x
100=0 (Derivando una constante en terminos de x)
Excelente contenido. Creo es posible mejorar el contenido para que sea más didáctico con más ejemplos, partiendo de lo elemental a lo complejo, para que el texto pueda ser más entendible para estudiantes de secundaria en Costa Rica.
Excelente artículo y muy dinámico.
Agradecemos tu comentario, la verdad estamos trabajando mucho para lograr tener las mejores explicaciones para que sea mas entendible al publico y para ello lo que ustedes recomienden nos ayuda en gran forma, esperamos que en un futuro seamos mejores siguiendo sus sugerencias, otra vez gracias.
Hola podrías hacernos el favor de mostrarnos la función para dar una mejor explicación.