Capítulos
Derivada en un punto
La derivada de una función
en un
es el valor del límite, si existe, del cociente incremental cuando el incremento de la variable tiende a cero.

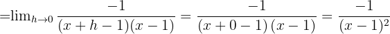
1 Calcular la derivada de la función
en el punto
.

desarrollamos el binomio al cuadrado, multiplicamos y eliminamos términos

aplicamos el límite
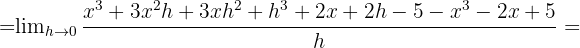
2 Hallar la derivada de la función
en
.
desarrollamos el binomio al cuadrado, multiplicamos y eliminamos términos

sumamos términos

aplicamos el límite

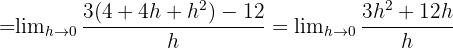
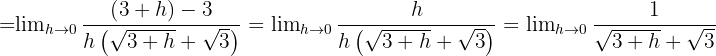
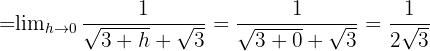
3 Calcular la derivada de
en
.
desarrollamos el binomio al cuadrado, multiplicamos y eliminamos términos

con el resultado factorizamos
en el numerador y se divide con la de abajo

aplicamos el límite

Ahora evaluamos 

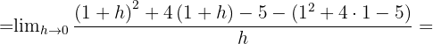
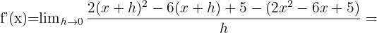
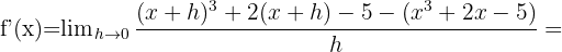
4 Hallar la derivada de
en
.
desarrollamos el binomio al cubo, multiplicamos y eliminamos términos

con el resultado factorizamos
en el numerador y se divide con la de abajo

aplicamos el límite

Ahora evaluamos 

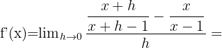
5 Determinar la derivada de
en
.
Vamos a aplicar la regla para restar dos fracciones para poder eliminar términos
aplicamos ley de la herradura para poder eliminar 

aplicamos el límite

Ahora evaluamos 

6 Calcula el valor de la derivada
en
.
Vamos a aplicar la regla para restar dos fracciones para poder eliminar términos
aplicamos ley de la herradura para poder eliminar 

aplicamos el límite

Ahora evaluamos 

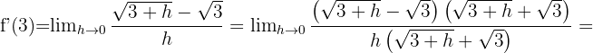
7 Hallar la derivada de
en
.
Para esta función vamos a racionalizar multiplicando por su conjugado para eliminar las raíces cuadradas
restamos para eliminar y poder dividir la
con la del denominador

aplicamos el límite

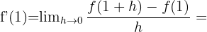
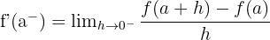
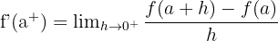
Derivadas laterales
Una función es derivable en un punto si, y solo si, es derivable por la izquierda y por la derecha en dicho punto y las derivadas laterales coinciden.
Derivada por la izquierda
Derivada por la derecha
Ejemplo
Estudiar el valor de la derivada de
en
.
Calculamos la derivada por la izquierda.
Calculamos la derivada por la derecha.
Como no coinciden las derivadas laterales la función no tiene derivada en x = 0.









Apuntes es una plataforma dirigida al estudio y la práctica de las matemáticas a través de la teoría y ejercicios interactivos que ponemos a vuestra disposición. Esta información está disponible para todo aquel/aquella que quiera profundizar en el aprendizaje de esta ciencia. Será un placer ayudaros en caso de que tengáis dudas frente algún problema, sin embargo, no realizamos un ejercicio que nos presentéis de 0 sin que hayáis si quiera intentado resolverlo. Ánimo, todo esfuerzo tiene su recompensa.
cordial saludo sera que tu me puedes ayudar a resolver un ejercicio que es dada la función f(x)= X elevada a la 2/3 por entre paréntesis (xa la 2 -8) hallar los valores de X para los cuales esta crece te lo agradecería mucho
La descripcion es erronea donde da la derivada de arcocotangente, ya que dice derivada de arcotangete, se comieron el co, lo que puede llevar a confunciones, como en mi caso que pense que era la derivada de la inversa de tangente, cuando era la derivada de la inversa de cotangente.
Hola entendemos la confusión, pero como sabes en cada lugar toman la notación en forma diferente, en este caso se tomo arccot(x) donde se repite la c para diferenciar de arctan(x).
me pueden ayudar encontrar la derivada de : y=7 elevado a la 4 + e elevado a la x-4 – ln X + 100
Medio tarde me parece mi respuesta, pero simplemente tenes que derivar cada termino independientemente:
7^4=(7.4)^3
e^x-4=e^x-4 (por formula)
lnx=1/x
100=0 (Derivando una constante en terminos de x)
Excelente contenido. Creo es posible mejorar el contenido para que sea más didáctico con más ejemplos, partiendo de lo elemental a lo complejo, para que el texto pueda ser más entendible para estudiantes de secundaria en Costa Rica.
Excelente artículo y muy dinámico.
Agradecemos tu comentario, la verdad estamos trabajando mucho para lograr tener las mejores explicaciones para que sea mas entendible al publico y para ello lo que ustedes recomienden nos ayuda en gran forma, esperamos que en un futuro seamos mejores siguiendo sus sugerencias, otra vez gracias.
Hola podrías hacernos el favor de mostrarnos la función para dar una mejor explicación.