Como sabemos, existen 2 formas esenciales para resolver derivadas, la primera es a través del limite con la formula:
Y la segunda es a través de formulas definidas para cada uno de los diferentes casos, en estos ejercicios usaremos la segunda opción.
Calcula las derivadas de las funciones:
1 
2 
3 
4 
5 
6 
7 
8 
9 
1 
En este caso, utilizamos la fórmula
, que significa que la derivada de cualquier constante siempre es 'cero'.

2 
En este caso, utilizamos la fórmula
, que significa que cuando tengamos una constante multiplicando a una variable, la derivada será la constante.

3 
En este caso, utilizamos la regla
, que significa que cuando se tenga una suma o diferencia de funciones (o términos algebraicos), la derivada será equivalente a la suma y/o diferencia de las derivadas de cada función (o términos algebraicos).

4 
En este caso, derivamos cada término algebraico. Para el primero usamos la fórmula
.

5 
En este caso, derivamos cada término algebraico:

6 
En este caso, podemos reescribir la función como:

Por lo que la derivada será
multiplicado por la derivada de la función 


7 
Para este tipo de funciones, en las que la variable se encuentra en el denominador, podemos aplicar la propiedad de las potencias:


Para derivar, podemos aplicar la fórmula 
Por lo que tenemos:


8 
Para derivar un cociente usamos la formula:

Por lo que la derivada nos queda:



9 
Para derivar un producto, aplicamos la formula:

Por lo que la derivada quedaría:



Calcula mediante la fórmula de la derivada de una potencia
1 
2 
3 
4 
5 
6 
7 
Recuerda que la formula para derivar una potencia es:

Esta formula la utilizaremos en todos los ejercicios de esta sección
1 
Utilizando las propiedades de las potencias, podemos reescribir la función como:

Aplicando la formula para derivar una potencia:


2 
Utilizando las propiedades de las potencias, podemos reescribir la función como:

Aplicando la formula para derivar una potencia:


3 
Utilizando las propiedades de las potencias, podemos reescribir la función como:

Aplicando la formula para derivar una potencia:


4 
Utilizando las propiedades de las potencias, podemos reescribir la función como:

Aplicando la formula para derivar una potencia:


5 
Utilizando las propiedades de las potencias, podemos reescribir la función como:

Aplicando la formula para derivar una potencia:


6 
Utilizando las propiedades de las potencias, podemos reescribir la función como:

Aplicando la formula para derivar una potencia:


7 
En este caso, tenemos una función elevada a una potencia, por lo que podemos emplear la formula:



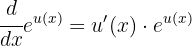
Deriva las funciones exponenciales
1 
2 
3 
4 
5 
En esta sección, las formulas que ocuparemos son las siguientes:

1 
Aplicamos la primer formula y obtenemos:


2 
Aplicamos la segunda formula y obtenemos:


3 

4 
Comenzamos aplicando la fórmula de producto 


5 
Comenzamos aplicando la fórmula del cociente 



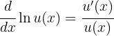
Calcula la derivada de las funciones logarítmicas
1 
2 
3 
4 
5 
Para esta sección, ocuparemos las siguientes fórmulas:

Además, podemos aplicar las propiedades de los logaritmos para reescribir la función en una forma más sencilla de derivar
1 
Aplicamos la fórmula para derivar logaritmos neperianos

2 
Aplicando la propiedad de los logaritmos
obtenemos:

Derivamos cada término aplicando la fórmula para derivar logaritmos neperianos



3 
Aplicando las propiedades de los logaritmos
y
obtenemos

Aplicando la fórmula para derivar logaritmo obtenemos




4 
Aplicando las propiedades de los logaritmos
y
obtenemos

Aplicando la fórmula para derivar logaritmos neperianos obtenemos



5 
Aplicando las propiedades de los logaritmos
y
obtenemos

Aplicando la fórmula para derivar logaritmos neperianos obtenemos



Calcula mediante la fórmula de la derivada de una raíz
1 
2 
3 
Para derivar funciones que contienen raíces, podemos convertirlas a potencia (como en el apartado anterior), o bien, utilizar las siguientes formulas para derivar raíces:

1 
Al ser raíz cuadrada podemos utilizar la primer formula


2 
Al ser raíz cuarta, utilizamos la segunda formula

3 
Al ser una raíz cúbica, comenzamos a derivar usando la segunda fórmula. La función dentro de la raíz se deriva con la fórmula de cociente 





Simplificamos la expresión
entre el numerador y el denominador deshaciendonos de este último, y obtenemos:


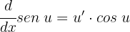
Calcula mediante la fórmula de la derivada de seno
1 
2 
3 
Para derivar funciones que contienen seno utilizamos la siguiente fórmula:

1 
Ubicamos el ángulo
y calculamos su derivada

Aplicando la fórmula de derivada del seno

2 
Ubicamos el ángulo
y calculamos su derivada

Aplicando la fórmula de derivada del seno

3 
Ubicamos el ángulo
y calculamos su derivada

Aplicando la fórmula de derivada del seno

Calcula mediante la fórmula de la derivada de coseno
1 
2 
3 
Para derivar funciones que contienen coseno utilizamos la siguiente fórmula:

1 
Ubicamos el ángulo
y calculamos su derivada

Aplicando la fórmula de derivada del coseno

2 
Ubicamos el ángulo
y calculamos su derivada

Aplicando la fórmula de derivada del coseno

3 
Ubicamos el ángulo
y calculamos su derivada

Aplicando la fórmula de derivada del coseno

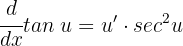
Calcula mediante la fórmula de la derivada de tangente
1 
2 
3 
Para derivar funciones que contienen tangente utilizamos la siguiente fórmula:

1 
Ubicamos el ángulo
y calculamos su derivada

Aplicando la fórmula de derivada de tangente

2 
Ubicamos el ángulo
y calculamos su derivada

Aplicando la fórmula de derivada de tangente

3 
Ubicamos el ángulo
y calculamos su derivada

Aplicando la fórmula de derivada de tangente

Calcula mediante la fórmula de la regla de la cadena la derivada de las siguientes funciones exponenciales
1 
2 
Para derivar funciones que contienen exponencial utilizamos la siguiente fórmula:

1 
Ubicamos el ángulo
y calculamos su derivada

Aplicando la fórmula de derivada de exponencial

2 
Ubicamos el ángulo
y calculamos su derivada

Aplicando la fórmula de derivada de exponencial

Calcula mediante la fórmula de la regla de la cadena la derivada de las siguientes funciones logarítmicas naturales
1 
2 
Para derivar funciones que contienen logaritmo natural utilizamos la siguiente fórmula:

1 
Ubicamos el ángulo
y calculamos su derivada

Aplicando la fórmula de derivada de logaritmo natural

2 
Ubicamos el ángulo
y calculamos su derivada

Aplicando la fórmula de derivada de logaritmo natural

¿Las derivadas siguen difíciles de entender después de haber leído nuestras páginas de explicaciones? Encuentra clases de matematicas con un profesor particular quien se podrá adaptar a tu nivel.
Resumir con IA:

Apuntes es una plataforma dirigida al estudio y la práctica de las matemáticas a través de la teoría y ejercicios interactivos que ponemos a vuestra disposición. Esta información está disponible para todo aquel/aquella que quiera profundizar en el aprendizaje de esta ciencia. Será un placer ayudaros en caso de que tengáis dudas frente algún problema, sin embargo, no realizamos un ejercicio que nos presentéis de 0 sin que hayáis si quiera intentado resolverlo. Ánimo, todo esfuerzo tiene su recompensa.
cordial saludo sera que tu me puedes ayudar a resolver un ejercicio que es dada la función f(x)= X elevada a la 2/3 por entre paréntesis (xa la 2 -8) hallar los valores de X para los cuales esta crece te lo agradecería mucho
La descripcion es erronea donde da la derivada de arcocotangente, ya que dice derivada de arcotangete, se comieron el co, lo que puede llevar a confunciones, como en mi caso que pense que era la derivada de la inversa de tangente, cuando era la derivada de la inversa de cotangente.
Hola entendemos la confusión, pero como sabes en cada lugar toman la notación en forma diferente, en este caso se tomo arccot(x) donde se repite la c para diferenciar de arctan(x).
me pueden ayudar encontrar la derivada de : y=7 elevado a la 4 + e elevado a la x-4 – ln X + 100
Medio tarde me parece mi respuesta, pero simplemente tenes que derivar cada termino independientemente:
7^4=(7.4)^3
e^x-4=e^x-4 (por formula)
lnx=1/x
100=0 (Derivando una constante en terminos de x)
Excelente contenido. Creo es posible mejorar el contenido para que sea más didáctico con más ejemplos, partiendo de lo elemental a lo complejo, para que el texto pueda ser más entendible para estudiantes de secundaria en Costa Rica.
Excelente artículo y muy dinámico.
Agradecemos tu comentario, la verdad estamos trabajando mucho para lograr tener las mejores explicaciones para que sea mas entendible al publico y para ello lo que ustedes recomienden nos ayuda en gran forma, esperamos que en un futuro seamos mejores siguiendo sus sugerencias, otra vez gracias.
Hola podrías hacernos el favor de mostrarnos la función para dar una mejor explicación.