Capítulos
Tasa de variación
Se llama tasa de variación (T.V.) de la función en el intervalo
, que se representa por
, a la diferencia entre las ordenadas correspondientes a los puntos de abscisas
y
.
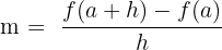
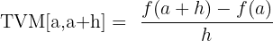
Tasa de variación media
Se llama tasa de variación media (T.V.M.) en intervalo
, y se representa por
ó
, al cociente entre la tasa de variación y la amplitud del intervalo considerado sobre el eje de abscisas,
ó
, esto es:
Interpretación geométrica de la tasa de variación media
La expresión anterior coincide con la pendiente de la recta tangente a la función
, que pasa por los puntos de abscisas
y
.
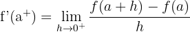
Derivada de una función en un punto
La derivada de la función
en el punto
es el valor del límite, si existe, de un cociente incremental cuando el incremento de la variable tiende a cero.
Interpretación geométrica de la derivada
La pendiente de la recta tangente a la curva en un punto es igual a la derivada de la función en ese punto.
Interpretación física de la derivada
La velocidad instantánea es el límite de la velocidad media cuando Δt tiende a cero, es decir la derivada del espacio respecto al tiempo.
Función derivada
La función derivada de una función
es una función que asocia a cada número real su derivada, si existe. Se denota por
.
Derivadas laterales
Derivada por la izquierda
Derivada por la derecha
Una función es derivable en un punto si, y sólo si, es derivable por la izquierda y por la derecha en dicho punto y las derivadas laterales coinciden.
Derivabilidad y continuidad
Si una función es derivable en un punto
, entonces es continua para
.
El reciproco es falso, es decir, hay funciones que son continuas en un punto y que, sin embargo, no son derivables.
Resumir con IA:









Apuntes es una plataforma dirigida al estudio y la práctica de las matemáticas a través de la teoría y ejercicios interactivos que ponemos a vuestra disposición. Esta información está disponible para todo aquel/aquella que quiera profundizar en el aprendizaje de esta ciencia. Será un placer ayudaros en caso de que tengáis dudas frente algún problema, sin embargo, no realizamos un ejercicio que nos presentéis de 0 sin que hayáis si quiera intentado resolverlo. Ánimo, todo esfuerzo tiene su recompensa.
cordial saludo sera que tu me puedes ayudar a resolver un ejercicio que es dada la función f(x)= X elevada a la 2/3 por entre paréntesis (xa la 2 -8) hallar los valores de X para los cuales esta crece te lo agradecería mucho
La descripcion es erronea donde da la derivada de arcocotangente, ya que dice derivada de arcotangete, se comieron el co, lo que puede llevar a confunciones, como en mi caso que pense que era la derivada de la inversa de tangente, cuando era la derivada de la inversa de cotangente.
Hola entendemos la confusión, pero como sabes en cada lugar toman la notación en forma diferente, en este caso se tomo arccot(x) donde se repite la c para diferenciar de arctan(x).
me pueden ayudar encontrar la derivada de : y=7 elevado a la 4 + e elevado a la x-4 – ln X + 100
Medio tarde me parece mi respuesta, pero simplemente tenes que derivar cada termino independientemente:
7^4=(7.4)^3
e^x-4=e^x-4 (por formula)
lnx=1/x
100=0 (Derivando una constante en terminos de x)
Excelente contenido. Creo es posible mejorar el contenido para que sea más didáctico con más ejemplos, partiendo de lo elemental a lo complejo, para que el texto pueda ser más entendible para estudiantes de secundaria en Costa Rica.
Excelente artículo y muy dinámico.
Agradecemos tu comentario, la verdad estamos trabajando mucho para lograr tener las mejores explicaciones para que sea mas entendible al publico y para ello lo que ustedes recomienden nos ayuda en gran forma, esperamos que en un futuro seamos mejores siguiendo sus sugerencias, otra vez gracias.
Hola podrías hacernos el favor de mostrarnos la función para dar una mejor explicación.