Si
es una función derivable, la diferencial de una función correspondiente al incremento
de la variable independiente, es el producto
.
La diferencial de una función se representa por
ó
.
Interpretación geométrica de la diferencial

La diferencial en un punto representa el incremento de la ordenada de la tangente, correspondiente a un incremento de la variable independiente.
Ejemplos de diferenciales
1 Hallar la diferencial de 
Calculamos la derivada de la función
Así la diferencial es igual a la derivada de la función por el incremento
2 Hallar la diferencial de 
Calculamos la derivada de la función
Así la diferencial es igual a la derivada de la función por el incremento
3 Hallar la diferencial de 
Calculamos la derivada de la función
Así la diferencial es igual a la derivada de la función por el incremento
4 Hallar la diferencial de 
Calculamos la derivada de la función
Así la diferencial es igual a la derivada de la función por el incremento
5 Hallar la diferencial de 
Calculamos la derivada de la función
Así la diferencial es igual a la derivada de la función por el incremento
6 Hallar la diferencial de 
Aplicamos la definición de logaritmo:
Aplicamos
en ambos ados de la igualdad:
Así
y su derivada es 
Tenemos que la diferencial es 
7Un cuadrado tiene 2 m de lado. determínese en cuánto aumenta el área del cuadrado cuando su lado lo hace en un milímetro. Calcúlese el error que se comete al usar diferenciales en lugar de incrementos.
El área del cuadrado es 
Calculamos el incremento

Calculamos la diferencial

Calculamos el error

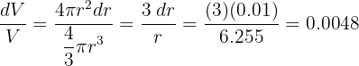
8Hallar la variación de volumen que experimenta un cubo, de arista 20 cm, cuando ésta aumenta 0.2 cm su longitud.
El volumen del cubo es 
Calculamos la diferencial

9Calcula el error absoluto y relativo cometido en el cálculo del volumen de una esfera de 12.51 mm de diámetro, medido con un instrumento que aprecia milésimas de centímetro.
El volumen de la esfera es 
Calculamos la diferencial

El radio de la esfera es
y la diferencial es 
El error absoluto es

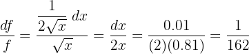
10Si el lugar de
se halla
. ¿Cuáles son las aproximaciones del error absoluto y relativo?
La función a emplear es 
Calculamos la diferencial de
y 


Calculamos el error relativo

Calculamos el error absoluto

11 Calcular el incremento del área del cuadrado de 2 m de lado, cuando aumentamos 1 mm su lado.
El área del cuadrado es 
Calculamos la diferencial, empleando que 

Resumir con IA:









Apuntes es una plataforma dirigida al estudio y la práctica de las matemáticas a través de la teoría y ejercicios interactivos que ponemos a vuestra disposición. Esta información está disponible para todo aquel/aquella que quiera profundizar en el aprendizaje de esta ciencia. Será un placer ayudaros en caso de que tengáis dudas frente algún problema, sin embargo, no realizamos un ejercicio que nos presentéis de 0 sin que hayáis si quiera intentado resolverlo. Ánimo, todo esfuerzo tiene su recompensa.
cordial saludo sera que tu me puedes ayudar a resolver un ejercicio que es dada la función f(x)= X elevada a la 2/3 por entre paréntesis (xa la 2 -8) hallar los valores de X para los cuales esta crece te lo agradecería mucho
La descripcion es erronea donde da la derivada de arcocotangente, ya que dice derivada de arcotangete, se comieron el co, lo que puede llevar a confunciones, como en mi caso que pense que era la derivada de la inversa de tangente, cuando era la derivada de la inversa de cotangente.
Hola entendemos la confusión, pero como sabes en cada lugar toman la notación en forma diferente, en este caso se tomo arccot(x) donde se repite la c para diferenciar de arctan(x).
me pueden ayudar encontrar la derivada de : y=7 elevado a la 4 + e elevado a la x-4 – ln X + 100
Medio tarde me parece mi respuesta, pero simplemente tenes que derivar cada termino independientemente:
7^4=(7.4)^3
e^x-4=e^x-4 (por formula)
lnx=1/x
100=0 (Derivando una constante en terminos de x)
Excelente contenido. Creo es posible mejorar el contenido para que sea más didáctico con más ejemplos, partiendo de lo elemental a lo complejo, para que el texto pueda ser más entendible para estudiantes de secundaria en Costa Rica.
Excelente artículo y muy dinámico.
Agradecemos tu comentario, la verdad estamos trabajando mucho para lograr tener las mejores explicaciones para que sea mas entendible al publico y para ello lo que ustedes recomienden nos ayuda en gran forma, esperamos que en un futuro seamos mejores siguiendo sus sugerencias, otra vez gracias.
Hola podrías hacernos el favor de mostrarnos la función para dar una mejor explicación.