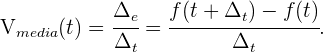
La velocidad media es el cociente entre el espacio recorrido y el tiempo transcurrido
. Fisicamente esto lo podemos interpretar como el cambio de posición respecto al tiempo o como la pendiente de la recta que une el punto inicial y el punto final del recorrido.
Si dado un tiempo y una función
, queremos saber la velocidad media de ir de un punto
hasta un punto
siguiendo el recorrido de la función
podemos utilizar la siguiente fórmula

La fórmula anterior se puede deducir fácilmente a partir de la siguiente grafica.
Velocidad instantánea
La derivada de una función en un punto
no es más que la velocidad en el instante
Este fenómeno también lo podemos interpretar como la pendiente de la recta tangente a la función
en el punto
Podemos calcular la velocidad instantánea calculando el siguiente limite
Cálculo de las velocidades media e instantánea
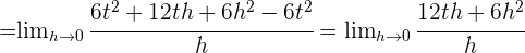
La relación entre la distancia recorrida en metros por un móvil y el tiempo en segundos es . Calcular:
1 La velocidad media entre y
.
La velocidad media es el cociente incremental en el intervalo . De esta forma tenemos el siguiente valor para la velocidad media

2 La velocidad instantánea en .
Recordemos que la velocidad instantánea es la derivada de la función en el instante
. Así que el resultado es



Apuntes es una plataforma dirigida al estudio y la práctica de las matemáticas a través de la teoría y ejercicios interactivos que ponemos a vuestra disposición. Esta información está disponible para todo aquel/aquella que quiera profundizar en el aprendizaje de esta ciencia. Será un placer ayudaros en caso de que tengáis dudas frente algún problema, sin embargo, no realizamos un ejercicio que nos presentéis de 0 sin que hayáis si quiera intentado resolverlo. Ánimo, todo esfuerzo tiene su recompensa.
La descripcion es erronea donde da la derivada de arcocotangente, ya que dice derivada de arcotangete, se comieron el co, lo que puede llevar a confunciones, como en mi caso que pense que era la derivada de la inversa de tangente, cuando era la derivada de la inversa de cotangente.
Hola entendemos la confusión, pero como sabes en cada lugar toman la notación en forma diferente, en este caso se tomo arccot(x) donde se repite la c para diferenciar de arctan(x).
me pueden ayudar encontrar la derivada de : y=7 elevado a la 4 + e elevado a la x-4 – ln X + 100
Medio tarde me parece mi respuesta, pero simplemente tenes que derivar cada termino independientemente:
7^4=(7.4)^3
e^x-4=e^x-4 (por formula)
lnx=1/x
100=0 (Derivando una constante en terminos de x)
Excelente contenido. Creo es posible mejorar el contenido para que sea más didáctico con más ejemplos, partiendo de lo elemental a lo complejo, para que el texto pueda ser más entendible para estudiantes de secundaria en Costa Rica.
Excelente artículo y muy dinámico.
Agradecemos tu comentario, la verdad estamos trabajando mucho para lograr tener las mejores explicaciones para que sea mas entendible al publico y para ello lo que ustedes recomienden nos ayuda en gran forma, esperamos que en un futuro seamos mejores siguiendo sus sugerencias, otra vez gracias.
Hola: El últipo ejercicio de aplicación me parece que es incorrecto ya que no está obteniendo la derivada del volumen del cono
Hola si te refieres al triángulo que gira, si se derivo el volumen, si estoy equivocado por favor indícamelo.