Pendiente de la recta tangente
La pendiente de la recta tangente a una curva en un punto es igual a la derivada de la función en dicho punto.

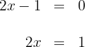
Ejemplo: Hallar la pendiente de la recta tangente a la curva
para 
1Calculamos la derivada
2La pendiente buscada es
Ecuación de la recta tangente
La recta tangente a una curva en un punto es aquella que pasa por el punto
y cuya pendiente es igual a
, viene dada por
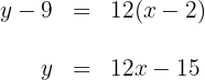
Ejemplo: Hallar la recta tangente a la curva
en 
1 Calculamos el punto de la gráfica de la curva por donde pasa la recta tangente
2 Calculamos la pendiente de la recta tangente en 
3 la ecuación de la recta tangente es
Ejercicios propuestos
Calcular los puntos en que la tangente a la curva
es paralela al eje 
1 Calculamos la derivada de la curva

2 El eje
tiene pendiente cero, la pendiente de la recta tangente es igual a la derivada y las rectas paralelas tienen la misma pendiente

entonces el valor de
son 
3 Calculamos el valor 

El punto buscado es 
Calcular los puntos en que la tangente a la curva
es paralela al eje
.
1 Calculamos la derivada de la curva

2 El eje
tiene pendiente cero, la pendiente de la recta tangente es igual a la derivada y las rectas paralelas tienen la misma pendiente

entonces los valores de
son
y 
3 Calculamos los valores 

Los puntos buscados son
y 
Se ha trazado una recta tangente a la curva
, cuya pendiente es
y pasa por el punto
. Hallar el punto de tangencia.
1 Calculamos la derivada de la curva

2 Como la pendiente es
, igualamos con la derivada y encontramos los valores de los puntos de tangencia con pendiente tres

entonces los valores de
son
y 
3 Calculamos los valores 

Los puntos buscados son
y 
4 La ecuación de la recta tangente con punto de tangencia
es

la cual no pasa por el punto
.
La ecuación de la recta tangente con punto de tangencia
es

la cual si pasa por el punto
. Así, el punto de tangencia solicitado es
.
Encuentra la recta tangente a la curva
en
.
1 Calculamos la derivada de la curva

2 Como la pendiente es
, sustituimos
y encontramos el valor de la pendiente 
3 Calculamos el valor
donde pasa la recta tangente

El punto buscado es 
4 La ecuación de la recta tangente con punto de tangencia
es

Encontrar los puntos de la curva
, para los cuales la tangente forma un ángulo de
con el eje
.
1 Calculamos la derivada de la curva

2 La pendiente es igual a
. Igualamos esta pendiente con la derivada y encontramos los valores de los puntos de tangencia con pendiente tres

entonces los valores de
son
y 
3 Calculamos los valores de la segunda coordenada de los puntos de tangencia

Los puntos buscados son
y 
Dada la función
, hallar el ángulo que forma la recta tangente a la gráfica de la función
en el origen, con el eje de abscisas.
1 Calculamos la derivada de la curva

2 La pendiente en el origen es
. Así, el ángulo fomado por la recta tangente y el eje de las abscisas es

Dada la función
, hallar el ángulo que forma la recta tangente a la gráfica de la función
en el origen, con el eje de abscisas.
1 Calculamos la derivada de la curva

2 La pendiente en el origen es
. Así, el ángulo fomado por la recta tangente y el eje de las abscisas es

Hallar los coeficientes de la ecuación
, sabiendo que su gráfica pasa por
y por
, y en este último punto su tangente tiene de pendiente
.
1 Calculamos la derivada de la curva

2 Sustituyendo los dos puntos por donde pasa la gráfica en la ecuación dada y la pendiente de la recta tangente, se tiene el siguiente sistema de tres ecuaciones

3 El sistema de ecuaciones

tiene por solución 
Hallar los coeficientes de la ecuación
, sabiendo que su gráfica pasa por
y por
, siendo la tangente a la misma en el punto de abscisa
paralela a la bisectriz del primer cuadrante. Hallar el valor numérico de los coeficientes de la ecuación.
1 Calculamos la derivada de la curva

2 Sustituyendo los dos puntos por donde pasa la gráfica en la ecuación dada y la pendiente de la recta tangente la cual es
, se tiene el siguiente sistema de tres ecuaciones

3 El sistema de ecuaciones

tiene por solución 
Hallar los coeficientes de la ecuación
, sabiendo que su gráfica pasa por
y por
, siendo la tangente a la misma en los puntos de abscisas
y
paralela al eje de las abscisas. Hallar el valor numérico de los coeficientes de la ecuación.
1 Calculamos la derivada de la curva

2 Sustituyendo los dos puntos por donde pasa la gráfica en la ecuación dada y la pendiente de la recta tangente la cual es
, se tiene el siguiente sistema de cuatro ecuaciones

3 El sistema de ecuaciones

tiene por solución 
Resumir con IA:









Apuntes es una plataforma dirigida al estudio y la práctica de las matemáticas a través de la teoría y ejercicios interactivos que ponemos a vuestra disposición. Esta información está disponible para todo aquel/aquella que quiera profundizar en el aprendizaje de esta ciencia. Será un placer ayudaros en caso de que tengáis dudas frente algún problema, sin embargo, no realizamos un ejercicio que nos presentéis de 0 sin que hayáis si quiera intentado resolverlo. Ánimo, todo esfuerzo tiene su recompensa.
cordial saludo sera que tu me puedes ayudar a resolver un ejercicio que es dada la función f(x)= X elevada a la 2/3 por entre paréntesis (xa la 2 -8) hallar los valores de X para los cuales esta crece te lo agradecería mucho
La descripcion es erronea donde da la derivada de arcocotangente, ya que dice derivada de arcotangete, se comieron el co, lo que puede llevar a confunciones, como en mi caso que pense que era la derivada de la inversa de tangente, cuando era la derivada de la inversa de cotangente.
Hola entendemos la confusión, pero como sabes en cada lugar toman la notación en forma diferente, en este caso se tomo arccot(x) donde se repite la c para diferenciar de arctan(x).
me pueden ayudar encontrar la derivada de : y=7 elevado a la 4 + e elevado a la x-4 – ln X + 100
Medio tarde me parece mi respuesta, pero simplemente tenes que derivar cada termino independientemente:
7^4=(7.4)^3
e^x-4=e^x-4 (por formula)
lnx=1/x
100=0 (Derivando una constante en terminos de x)
Excelente contenido. Creo es posible mejorar el contenido para que sea más didáctico con más ejemplos, partiendo de lo elemental a lo complejo, para que el texto pueda ser más entendible para estudiantes de secundaria en Costa Rica.
Excelente artículo y muy dinámico.
Agradecemos tu comentario, la verdad estamos trabajando mucho para lograr tener las mejores explicaciones para que sea mas entendible al publico y para ello lo que ustedes recomienden nos ayuda en gran forma, esperamos que en un futuro seamos mejores siguiendo sus sugerencias, otra vez gracias.
Hola podrías hacernos el favor de mostrarnos la función para dar una mejor explicación.