Si una función es derivable en un punto
, entonces es continua en
.
El reciproco es falso, es decir, hay funciones que son continuas en un punto y que, sin embargo, no son derivables. A continuación veremos algunos ejemplos donde podemos estudiar estas afirmaciones.
Ejemplos
Estudiar la continuidad y derivabilidad de las funciones:
1 Consideremos
En primer lugar estudiamos la continuidad en
. Notemos que
entonces la función no es continua en
, por tanto tampoco es derivable.

2 Consideremos
En primer lugar estudiamos la continuidad en
:
Tenemos que la función es continua, por tanto podemos estudiar la derivabilidad
Puesto que no coinciden las derivadas laterales no es derivable en
.

3 Consideremos
:
Tenemos que la función es continua en
, por tanto podemos estudiar la derivabilidad.
Es decir, tenemos que en
la función es continua y derivable.

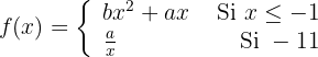
4 Estudiar para qué valores de
y
la función es continua y derivable:
Notemos que
es decir, para que sea continua en
se debe tener que
.
Ahora bien, considerando
veamos que valor debe tomar
para que sea derivable.
Tenemos que
Por lo tanto, se debe tomar
.
5 Determinar los valores de
y
para que la siguiente función sea derivable en todos sus puntos:
Para qué una función sea derivable tiene que ser continua, notemos que en este caso la función no es continua para
cualesquiera que sean
y
, es decir, no existen valores de
y
que hagan continua la función y por tanto, no existen
y
para los cuales la función sea derivable.
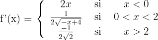
6 Estudiar para qué valores de
y
la función es continua y derivable:
Notemos que
entonces para que sea continua en
se debe tener que
Por otro lado para 
entonces, para que sea continua en
se debe tener que
Por tanto para
y
la funcion es continua en todo
.
Ahora bien, tenemos
Notemos que
por tanto, no es derivable en
y
Es decir, es derivable en
.
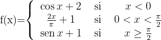
7 Estudiar la continuidad y derivabilidad de la función definida por
La función no es continua en
porque no tiene imagen, por tanto tampoco es derivable en ese punto.
Ahora bien en
:
Por lo que es continua, veamos si es derivable mediante las fórmulas de derivadas trigonómetricas inmediatas
y notemos que
Puesto que las derivadas laterales no coinciden no es derivable en el punto.
Resumir con IA:

Apuntes es una plataforma dirigida al estudio y la práctica de las matemáticas a través de la teoría y ejercicios interactivos que ponemos a vuestra disposición. Esta información está disponible para todo aquel/aquella que quiera profundizar en el aprendizaje de esta ciencia. Será un placer ayudaros en caso de que tengáis dudas frente algún problema, sin embargo, no realizamos un ejercicio que nos presentéis de 0 sin que hayáis si quiera intentado resolverlo. Ánimo, todo esfuerzo tiene su recompensa.
cordial saludo sera que tu me puedes ayudar a resolver un ejercicio que es dada la función f(x)= X elevada a la 2/3 por entre paréntesis (xa la 2 -8) hallar los valores de X para los cuales esta crece te lo agradecería mucho
La descripcion es erronea donde da la derivada de arcocotangente, ya que dice derivada de arcotangete, se comieron el co, lo que puede llevar a confunciones, como en mi caso que pense que era la derivada de la inversa de tangente, cuando era la derivada de la inversa de cotangente.
Hola entendemos la confusión, pero como sabes en cada lugar toman la notación en forma diferente, en este caso se tomo arccot(x) donde se repite la c para diferenciar de arctan(x).
me pueden ayudar encontrar la derivada de : y=7 elevado a la 4 + e elevado a la x-4 – ln X + 100
Medio tarde me parece mi respuesta, pero simplemente tenes que derivar cada termino independientemente:
7^4=(7.4)^3
e^x-4=e^x-4 (por formula)
lnx=1/x
100=0 (Derivando una constante en terminos de x)
Excelente contenido. Creo es posible mejorar el contenido para que sea más didáctico con más ejemplos, partiendo de lo elemental a lo complejo, para que el texto pueda ser más entendible para estudiantes de secundaria en Costa Rica.
Excelente artículo y muy dinámico.
Agradecemos tu comentario, la verdad estamos trabajando mucho para lograr tener las mejores explicaciones para que sea mas entendible al publico y para ello lo que ustedes recomienden nos ayuda en gran forma, esperamos que en un futuro seamos mejores siguiendo sus sugerencias, otra vez gracias.
Hola podrías hacernos el favor de mostrarnos la función para dar una mejor explicación.