Capítulos
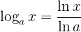
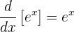
Recordemos que definimos a la función logaritmo
como la función inversa del exponente
. Por lo tanto, se cumple la relación

El número
se conoce como base del exponente. Para más información, consulta nuestra página sobre los logaritmos.
Derivada del logaritmo natural
Si la base del logaritmo es el número de Euler,
, entonces se logaritmo se conoce como logaritmo natural (o logaritmo neperiano). En este caso lo denotamos

Si
, entonces la derivada del logaritmo natural es

donde ya estamos tomando en cuenta la regla de la cadena.
En particular, la derivada de
es

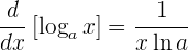
Derivada de un logaritmo de cualquier base
Sabemos que el logaritmo cumple con la siguiente propiedad:

Por lo tanto, si derivamos la expresión anterior, tenemos:

Así, la derivada del logaritmo base
es

Si tomamos en cuenta la regla de la cadena, entonces la derivada es

Nota: en muchos casos es preferible aplicar algunas propiedades de los logaritmos antes de derivar. Por ejemplo, si tenemos

Entonces utilizamos la propiedad
para obtener:

con lo que nos evitaríamos hacer la regla del cociente para las derivadas.
Ejercicios resueltos
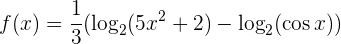
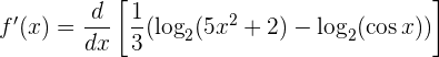
Encuentra la derivada de las siguientes funciones

Observemos que tenemos una potencia. Aunque es sencillo derivar
, también podemos utilizar la siguiente propiedad de los logaritmos:

con lo que la función se puede escribir como

Entonces podemos derivar una expresión un poco más sencilla. Primero utilizamos la linealidad de la derivada (sacamos la constante):

ahora derivamos (con regla de la cadena donde
):

La derivada de
es 1, por lo que tenemos

la cual es la derivada que buscábamos.

Antes de derivar, utilicemos la siguiente propiedad del logaritmo

Por lo que la función se escribe como

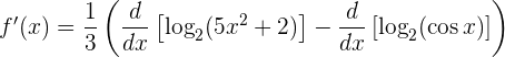
Ahora derivamos:

Utilizamos la linealidad de las derivadas:

Y ahora derivamos cada expresión:

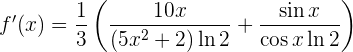
Luego, tenemos que
y
, son lo que tenemos

que es la derivada que buscamos.

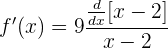
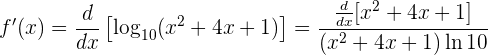
Recordemos que la derivada de un logaritmo con base diferente de
es ligeramente diferente. Por lo tanto,

Además, tenemos que
. Por lo que la derivada es


Para encontrar esta derivada, primero vale la pena utilizas propiedades de los logaritmos. En primer lugar

como
, entonces la función se puede escribir como

Ahora, utilizamos la propiedad
, para escribir la función como

Ya podemos derivar la función:

Utilizamos la linealidad de la derivada:

Ahora sí derivamos cada expresión:

Luego, tenemos que
y
. Sustituyendo, tenemos

que es la derivada que buscábamos.
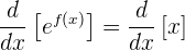
Utilizando derivación implícita y el hecho de que

demuestra que

Empezamos con nuestra función
. Deseamos mostrar que

Para esto, aplicamos la función exponencial a ambos lados:

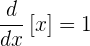
Ahora, usamos derivación implícita en esta expresión

El lado derecho es

Mientras que el lado izquierdo es

Por lo tanto, tenemos

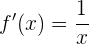
Si dividimos ambos lados por
, tenemos

Sin embargo, teníamos que
en (1), por lo que

que era justo lo que queríamos demostrar.
Resumir con IA:









Apuntes es una plataforma dirigida al estudio y la práctica de las matemáticas a través de la teoría y ejercicios interactivos que ponemos a vuestra disposición. Esta información está disponible para todo aquel/aquella que quiera profundizar en el aprendizaje de esta ciencia. Será un placer ayudaros en caso de que tengáis dudas frente algún problema, sin embargo, no realizamos un ejercicio que nos presentéis de 0 sin que hayáis si quiera intentado resolverlo. Ánimo, todo esfuerzo tiene su recompensa.
cordial saludo sera que tu me puedes ayudar a resolver un ejercicio que es dada la función f(x)= X elevada a la 2/3 por entre paréntesis (xa la 2 -8) hallar los valores de X para los cuales esta crece te lo agradecería mucho
La descripcion es erronea donde da la derivada de arcocotangente, ya que dice derivada de arcotangete, se comieron el co, lo que puede llevar a confunciones, como en mi caso que pense que era la derivada de la inversa de tangente, cuando era la derivada de la inversa de cotangente.
Hola entendemos la confusión, pero como sabes en cada lugar toman la notación en forma diferente, en este caso se tomo arccot(x) donde se repite la c para diferenciar de arctan(x).
me pueden ayudar encontrar la derivada de : y=7 elevado a la 4 + e elevado a la x-4 – ln X + 100
Medio tarde me parece mi respuesta, pero simplemente tenes que derivar cada termino independientemente:
7^4=(7.4)^3
e^x-4=e^x-4 (por formula)
lnx=1/x
100=0 (Derivando una constante en terminos de x)
Excelente contenido. Creo es posible mejorar el contenido para que sea más didáctico con más ejemplos, partiendo de lo elemental a lo complejo, para que el texto pueda ser más entendible para estudiantes de secundaria en Costa Rica.
Excelente artículo y muy dinámico.
Agradecemos tu comentario, la verdad estamos trabajando mucho para lograr tener las mejores explicaciones para que sea mas entendible al publico y para ello lo que ustedes recomienden nos ayuda en gran forma, esperamos que en un futuro seamos mejores siguiendo sus sugerencias, otra vez gracias.
Hola podrías hacernos el favor de mostrarnos la función para dar una mejor explicación.