Funciones implícitas
Una correspondencia o una función está definida en forma implícita, cuando no aparece despejada la variable
, sino que la relación entre
e
viene dada por una ecuación de dos incógnitas cuyo segundo miembro es cero.
- Función explícita
, por ejemplo 
- Función implícita
, por ejemplo 
Una vez aclarado este concepto, podemos hablar de las derivadas de las funciones implícitas.
Derivadas de funciones implícitas
Para hallar la derivada en forma implícita no es necesario despejar
. Basta derivar tanto el miembro derecho como el izquierdo de la igualdad con respecto a la misma variable, utilizando las reglas vistas hasta ahora y teniendo presente que:
Cuando las funciones son más complejas vamos a utilizar una regla para facilitar el cálculo, veamos:

Al derivar de manera implícita

Al despejar
llegamos a la siguiente fórmula

Ejemplos de derivación
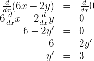
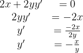
Derivar a la ecuación en su forma implícita


Derivar a la ecuación en su forma implícita


Derivar a la ecuación en su forma implícita


Derivar a la ecuación en su forma implícita







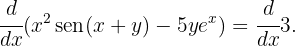
Derivar a la ecuación en su forma implícita

Aquí no aplica la fórmula mencionada ya que ambos sumandos dependen tanto de
como de
, significa que debemos derivar como la forma usual. Así

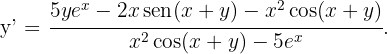
Entonces


Por lo tanto


Finalmente

Resumir con IA:












Apuntes es una plataforma dirigida al estudio y la práctica de las matemáticas a través de la teoría y ejercicios interactivos que ponemos a vuestra disposición. Esta información está disponible para todo aquel/aquella que quiera profundizar en el aprendizaje de esta ciencia. Será un placer ayudaros en caso de que tengáis dudas frente algún problema, sin embargo, no realizamos un ejercicio que nos presentéis de 0 sin que hayáis si quiera intentado resolverlo. Ánimo, todo esfuerzo tiene su recompensa.
cordial saludo sera que tu me puedes ayudar a resolver un ejercicio que es dada la función f(x)= X elevada a la 2/3 por entre paréntesis (xa la 2 -8) hallar los valores de X para los cuales esta crece te lo agradecería mucho
La descripcion es erronea donde da la derivada de arcocotangente, ya que dice derivada de arcotangete, se comieron el co, lo que puede llevar a confunciones, como en mi caso que pense que era la derivada de la inversa de tangente, cuando era la derivada de la inversa de cotangente.
Hola entendemos la confusión, pero como sabes en cada lugar toman la notación en forma diferente, en este caso se tomo arccot(x) donde se repite la c para diferenciar de arctan(x).
me pueden ayudar encontrar la derivada de : y=7 elevado a la 4 + e elevado a la x-4 – ln X + 100
Medio tarde me parece mi respuesta, pero simplemente tenes que derivar cada termino independientemente:
7^4=(7.4)^3
e^x-4=e^x-4 (por formula)
lnx=1/x
100=0 (Derivando una constante en terminos de x)
Excelente contenido. Creo es posible mejorar el contenido para que sea más didáctico con más ejemplos, partiendo de lo elemental a lo complejo, para que el texto pueda ser más entendible para estudiantes de secundaria en Costa Rica.
Excelente artículo y muy dinámico.
Agradecemos tu comentario, la verdad estamos trabajando mucho para lograr tener las mejores explicaciones para que sea mas entendible al publico y para ello lo que ustedes recomienden nos ayuda en gran forma, esperamos que en un futuro seamos mejores siguiendo sus sugerencias, otra vez gracias.
Hola podrías hacernos el favor de mostrarnos la función para dar una mejor explicación.