El teorema de Cauchy o teorema del valor medio generalizado dice que:
Si
y
son funciones continuas en
y derivables en
, entonces existe un punto
tal que:

con
.
El valor del primer miembro es constante, por lo que:

La interpretación geométrica del teorema de Cauchy nos dice que existen dos puntos
y
de las curvas
y
, tales que la pendiente de la tangente a la curva
en el primer punto es
veces la pendiente de la tangente a la curva
en el segundo punto.
Al teorema de Cauchy también se le suele denominar teorema del valor medio generalizado.
Ejemplo: Analizar si el teorema de Cauchy es aplicable en el intervalo
a las funciones:

En caso afirmativo, aplicarlo.
1 Las funciones
y
son continuas y derivables en
por ser polinómincas, luego, en particular, son continuas en
y derivables en
.
2 Además se cumple que
.
Por lo tanto se verifica el teorema de Cauchy:
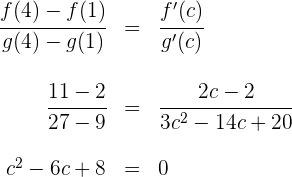
3 Aplicamos el teorema de Cauchy, para esto calculamos las derivadas de ambas funciones

Evaluamos en la fórmula

Las raíces son
y 
Como
, concluimos que el valor buscado es 
Ejemplo:Analizar si el teorema de Cauchy es aplicable en el intervalo
a las funciones:

En caso afirmativo, aplicarlo.
1 Las funciones
y
son continuas y derivables en toda la recta real y en particular son continuas en el intervalo
y derivables en 
2 Además se cumple que
.
Por lo tanto se verifica el teorema de Cauchy:
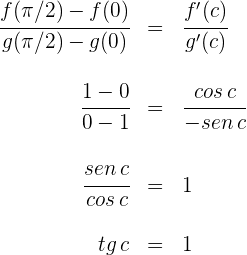
3 Aplicamos el teorema de Cauchy, para esto calculamos las derivadas de ambas funciones

Evaluamos en la fórmula

Las raíces son 
Como
, concluimos que el valor buscado es 
Resumir con IA:

Apuntes es una plataforma dirigida al estudio y la práctica de las matemáticas a través de la teoría y ejercicios interactivos que ponemos a vuestra disposición. Esta información está disponible para todo aquel/aquella que quiera profundizar en el aprendizaje de esta ciencia. Será un placer ayudaros en caso de que tengáis dudas frente algún problema, sin embargo, no realizamos un ejercicio que nos presentéis de 0 sin que hayáis si quiera intentado resolverlo. Ánimo, todo esfuerzo tiene su recompensa.
cordial saludo sera que tu me puedes ayudar a resolver un ejercicio que es dada la función f(x)= X elevada a la 2/3 por entre paréntesis (xa la 2 -8) hallar los valores de X para los cuales esta crece te lo agradecería mucho
La descripcion es erronea donde da la derivada de arcocotangente, ya que dice derivada de arcotangete, se comieron el co, lo que puede llevar a confunciones, como en mi caso que pense que era la derivada de la inversa de tangente, cuando era la derivada de la inversa de cotangente.
Hola entendemos la confusión, pero como sabes en cada lugar toman la notación en forma diferente, en este caso se tomo arccot(x) donde se repite la c para diferenciar de arctan(x).
me pueden ayudar encontrar la derivada de : y=7 elevado a la 4 + e elevado a la x-4 – ln X + 100
Medio tarde me parece mi respuesta, pero simplemente tenes que derivar cada termino independientemente:
7^4=(7.4)^3
e^x-4=e^x-4 (por formula)
lnx=1/x
100=0 (Derivando una constante en terminos de x)
Excelente contenido. Creo es posible mejorar el contenido para que sea más didáctico con más ejemplos, partiendo de lo elemental a lo complejo, para que el texto pueda ser más entendible para estudiantes de secundaria en Costa Rica.
Excelente artículo y muy dinámico.
Agradecemos tu comentario, la verdad estamos trabajando mucho para lograr tener las mejores explicaciones para que sea mas entendible al publico y para ello lo que ustedes recomienden nos ayuda en gran forma, esperamos que en un futuro seamos mejores siguiendo sus sugerencias, otra vez gracias.
Hola podrías hacernos el favor de mostrarnos la función para dar una mejor explicación.