Ejercicios para practicar la definición de continuidad y la de derivada
Calcula el valor de la derivada
en
.
Recordemos que la derivada por definición de
es la siguiente:

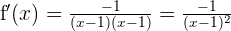
Sustituyendo los valores tenemos la siguiente expresión: 
Desarrollamos, sumando la fracción superior:
Cancelamos términos: 
Simplificamos la fracción:

Finalmente calculamos el límite:

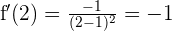
Evaluamos en 

Una población bacteriana tiene un crecimiento dado por la función
, siendo
el tiempo medido en horas. Se pide:
a La velocidad media de crecimiento.
b La velocidad instantánea de crecimiento.
c La velocidad de crecimiento instantáneo para
horas.
aLa velocidad media de crecimiento. Recordemos que la ecuación para calcular la velocidad media es la siguiente:
Sustituyendo obtenemos:

bLa velocidad instantánea de crecimiento.
Recordemos que la velocidad instantánea es la derivada de la función, en este caso necesitamos calcular
: 
c La velocidad de crecimiento instantáneo para
horas.
Como
, para calcular la velocidad instantánea sustituimos:

Hallar los puntos en que
no tiene derivada.
Primero, transformamos la función en una función a trozos:
Calculamos para que valores de
se satisface que
:
De esta manera, podemos concluir que la función se comporta por intervalos (considerando un valor para cada intervalo y observando el signo de la imagen): 
Así, podemos reescribir la función de la siguiente manera:
y en 
Para lo anterior, calculamos el valor de
y sus límites por la derecha y la izquierda: 
Como los valores coinciden en ambos casos, entonces la función es continua en toda
.
Ahora, estudiamos la derivabilidad en
y en
:
:

Las derivadas laterales de la función no coinciden por lo cual la función no será derivable en
.
Calculamos el límite por la izquierda y derecha de
:
Las derivadas laterales de la función no coinciden por lo cual la función no será derivable en
.
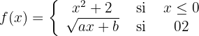
Estudiar para qué valores de
y
la función es continua y derivable: 

Primero, analicemos la continuidad
En
tenemos:
Calculamos el valor de la imagen en
:
Límite lateral izquierdo:
Límite lateral derecho:
Para que la función sea continua se debe satisfacer:
Después, analicemos la continuidad en
: El valor de la imagen de la función es el siguiente:

Límite lateral izquierdo:
Límite lateral derecho:
Para que la función sea continua en
se debe satisfacer:
Así bien, si
y
la función es continua en
Después estudiemos la derivabilidad:
En 
Tenemos que el límite lateral izquierdo de la derivada es
mientras que en que el límite lateral derecho de la derivada es
. Por lo cual, la función no es derivable en
.
En
:
Tenemos que el límite lateral izquierdo de la derivada es
y el límite lateral derecho de la derivada es
. Como los límites coinciden entonces la función es derivable en
.
Determinar los valores del parámetro
, para qué las tangentes a la curva de la función
en los puntos de abscisas
,
sean paralelas.
Para que sean paralelas se tiene que cumplir que las derivadas en
y
sean iguales. Es decir_
.
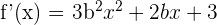
Calculamos la derivada:

Y después, calculamos el valor de la derivada en
y
:
.

Sustituimos en la ecuación 1 y tenemos la siguiente igualdad:
Simplificamos y resolvemos: 

Apuntes es una plataforma dirigida al estudio y la práctica de las matemáticas a través de la teoría y ejercicios interactivos que ponemos a vuestra disposición. Esta información está disponible para todo aquel/aquella que quiera profundizar en el aprendizaje de esta ciencia. Será un placer ayudaros en caso de que tengáis dudas frente algún problema, sin embargo, no realizamos un ejercicio que nos presentéis de 0 sin que hayáis si quiera intentado resolverlo. Ánimo, todo esfuerzo tiene su recompensa.
cordial saludo sera que tu me puedes ayudar a resolver un ejercicio que es dada la función f(x)= X elevada a la 2/3 por entre paréntesis (xa la 2 -8) hallar los valores de X para los cuales esta crece te lo agradecería mucho
La descripcion es erronea donde da la derivada de arcocotangente, ya que dice derivada de arcotangete, se comieron el co, lo que puede llevar a confunciones, como en mi caso que pense que era la derivada de la inversa de tangente, cuando era la derivada de la inversa de cotangente.
Hola entendemos la confusión, pero como sabes en cada lugar toman la notación en forma diferente, en este caso se tomo arccot(x) donde se repite la c para diferenciar de arctan(x).
me pueden ayudar encontrar la derivada de : y=7 elevado a la 4 + e elevado a la x-4 – ln X + 100
Medio tarde me parece mi respuesta, pero simplemente tenes que derivar cada termino independientemente:
7^4=(7.4)^3
e^x-4=e^x-4 (por formula)
lnx=1/x
100=0 (Derivando una constante en terminos de x)
Excelente contenido. Creo es posible mejorar el contenido para que sea más didáctico con más ejemplos, partiendo de lo elemental a lo complejo, para que el texto pueda ser más entendible para estudiantes de secundaria en Costa Rica.
Excelente artículo y muy dinámico.
Agradecemos tu comentario, la verdad estamos trabajando mucho para lograr tener las mejores explicaciones para que sea mas entendible al publico y para ello lo que ustedes recomienden nos ayuda en gran forma, esperamos que en un futuro seamos mejores siguiendo sus sugerencias, otra vez gracias.
Hola podrías hacernos el favor de mostrarnos la función para dar una mejor explicación.