En este artículo veremos cómo derivar la suma (o resta) de dos funciones.
Supongamos que tenemos una función
la cual la podemos escribir como la suma de dos funciones
y
, esto es

entonces tenemos que

o bien

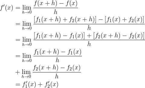
esto lo podemos ver por medio de la definición de derivada, tenemos que

Análogamente pasa con la resta, esto es, si tenemos que

entonces tenemos que

o bien

la demostración por definición de derivada es análoga a la suma.
Veremos algunos ejercicios donde aplicaremos lo aprendido, derivaremos tanto restas como sumas de funciones
1 Deriva la siguiente función

Notemos que tenemos la suma de dos funciones, de
y de
, además sus derivadas son

y

por lo tanto

2 Deriva la siguiente función

Notemos que tenemos la resta de dos funciones, de
y del
, además sus derivadas son

y

por lo tanto

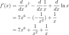
3 Deriva la siguiente función

Notemos que tenemos tanto una suma como una resta, en este caso las derivadas de la suma se suman y las de la resta se restan. Las funciones involucradas son
,
y
cuyas derivadas son


y

Por lo tanto

Resumir con IA:

Apuntes es una plataforma dirigida al estudio y la práctica de las matemáticas a través de la teoría y ejercicios interactivos que ponemos a vuestra disposición. Esta información está disponible para todo aquel/aquella que quiera profundizar en el aprendizaje de esta ciencia. Será un placer ayudaros en caso de que tengáis dudas frente algún problema, sin embargo, no realizamos un ejercicio que nos presentéis de 0 sin que hayáis si quiera intentado resolverlo. Ánimo, todo esfuerzo tiene su recompensa.
cordial saludo sera que tu me puedes ayudar a resolver un ejercicio que es dada la función f(x)= X elevada a la 2/3 por entre paréntesis (xa la 2 -8) hallar los valores de X para los cuales esta crece te lo agradecería mucho
La descripcion es erronea donde da la derivada de arcocotangente, ya que dice derivada de arcotangete, se comieron el co, lo que puede llevar a confunciones, como en mi caso que pense que era la derivada de la inversa de tangente, cuando era la derivada de la inversa de cotangente.
Hola entendemos la confusión, pero como sabes en cada lugar toman la notación en forma diferente, en este caso se tomo arccot(x) donde se repite la c para diferenciar de arctan(x).
me pueden ayudar encontrar la derivada de : y=7 elevado a la 4 + e elevado a la x-4 – ln X + 100
Medio tarde me parece mi respuesta, pero simplemente tenes que derivar cada termino independientemente:
7^4=(7.4)^3
e^x-4=e^x-4 (por formula)
lnx=1/x
100=0 (Derivando una constante en terminos de x)
Excelente contenido. Creo es posible mejorar el contenido para que sea más didáctico con más ejemplos, partiendo de lo elemental a lo complejo, para que el texto pueda ser más entendible para estudiantes de secundaria en Costa Rica.
Excelente artículo y muy dinámico.
Agradecemos tu comentario, la verdad estamos trabajando mucho para lograr tener las mejores explicaciones para que sea mas entendible al publico y para ello lo que ustedes recomienden nos ayuda en gran forma, esperamos que en un futuro seamos mejores siguiendo sus sugerencias, otra vez gracias.
Hola podrías hacernos el favor de mostrarnos la función para dar una mejor explicación.