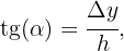
Interpretación geométrica de la derivada
Geométricamente la derivada de una función en un punto
es la pendiente de la recta
tangente a que pasa por el punto
Siguiendo la figura: consideramos dos puntos y
trazamos la recta secante entre ellos. Esta secante forma un ángulo
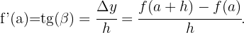
con la horizontal. Dado que deseamos hallar la pendiente de la recta tangente, notemos que dicho valor es
, donde
es el ángulo entre el eje de las
y la recta tangente.
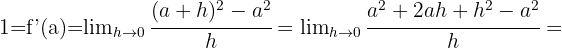
Volviendo al ángulo , tenemos que

donde
Cuando el valor tiende a
el punto
tiende a confundirse con el punto
Entonces la recta secante tiende a ser la recta tangente a la función
en
y por tanto el ángulo
tiende a ser
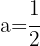
Por lo tanto se sigue que

Ejemplos
1 Dada calcular los puntos en los que la recta tangente es paralela a la bisectriz del primer cuadrante.








2 Dada la curva de ecuación halla las coordenadas de los puntos de dicha curva en los que la tangente forma con el eje
un ángulo de








y el punto buscado es
3 Determinar los valores del parámetro para qué las tangentes a la curva de la función
en los puntos de abscisas
sean paralelas.









Interpretación física de la derivada
Velocidad media
La velocidad media es el cociente entre el espacio recorrido y el tiempo transcurrido
Si la trayectoria es guiada por una función y consideramos un tiempo transcurrido
tenemos la siguiente formula para la velocidad media

Velocidad instantánea
La velocidad instantánea es el límite de la velocidad media cuando tiende a cero, es
decir, la derivada del espacio respecto al tiempo.

Ejemplos
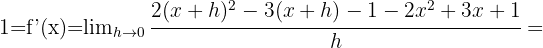
1 La relación entre la distancia recorrida en metros por un móvil y el tiempo en segundos es . Calcular:
a) La velocidad media entre y
b) La velocidad instantánea en





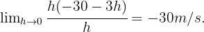
2 ¿Cuál es la velocidad que lleva un vehículo se mueve según la ecuación en el quinto segundo de su recorrido?
Solo debemos calcular la velocidad instantanea en el instante



3 Una población bacteriana tiene un crecimiento dado por la función siendo
el tiempo medido en horas. Se pide:
a) La velocidad media de crecimiento.
b) La velocidad instantánea de crecimiento.
c) La velocidad de crecimiento instantáneo para horas.




c) Solo debemos evaluar la fórmula anterior en lo que nos da

Apuntes es una plataforma dirigida al estudio y la práctica de las matemáticas a través de la teoría y ejercicios interactivos que ponemos a vuestra disposición. Esta información está disponible para todo aquel/aquella que quiera profundizar en el aprendizaje de esta ciencia. Será un placer ayudaros en caso de que tengáis dudas frente algún problema, sin embargo, no realizamos un ejercicio que nos presentéis de 0 sin que hayáis si quiera intentado resolverlo. Ánimo, todo esfuerzo tiene su recompensa.
La descripcion es erronea donde da la derivada de arcocotangente, ya que dice derivada de arcotangete, se comieron el co, lo que puede llevar a confunciones, como en mi caso que pense que era la derivada de la inversa de tangente, cuando era la derivada de la inversa de cotangente.
Hola entendemos la confusión, pero como sabes en cada lugar toman la notación en forma diferente, en este caso se tomo arccot(x) donde se repite la c para diferenciar de arctan(x).
me pueden ayudar encontrar la derivada de : y=7 elevado a la 4 + e elevado a la x-4 – ln X + 100
Medio tarde me parece mi respuesta, pero simplemente tenes que derivar cada termino independientemente:
7^4=(7.4)^3
e^x-4=e^x-4 (por formula)
lnx=1/x
100=0 (Derivando una constante en terminos de x)
Excelente contenido. Creo es posible mejorar el contenido para que sea más didáctico con más ejemplos, partiendo de lo elemental a lo complejo, para que el texto pueda ser más entendible para estudiantes de secundaria en Costa Rica.
Excelente artículo y muy dinámico.
Agradecemos tu comentario, la verdad estamos trabajando mucho para lograr tener las mejores explicaciones para que sea mas entendible al publico y para ello lo que ustedes recomienden nos ayuda en gran forma, esperamos que en un futuro seamos mejores siguiendo sus sugerencias, otra vez gracias.
Hola: El últipo ejercicio de aplicación me parece que es incorrecto ya que no está obteniendo la derivada del volumen del cono
Hola si te refieres al triángulo que gira, si se derivo el volumen, si estoy equivocado por favor indícamelo.