Máximos
Si f y f' son derivables en a, a es un máximo relativo o local si se cumple:
1.

2.

Mínimos
Si f y f' son derivables en a, a es un mínimo relativo o local si se cumple:
1.

2.

Cálculo de los máximos y mínimos relativos

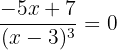
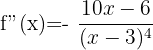
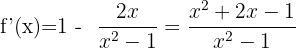
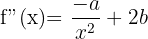
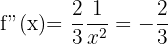
1. Hallamos la derivada primera y calculamos sus raíces.



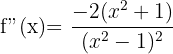
2. Realizamos la
derivada, y calculamos el signo que toman en ella los ceros de derivada primera y si:
Tenemos un mínimo.
Tenemos un máximo.

Máximo
Mínimo
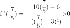
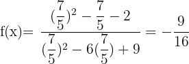
3. Calculamos la imagen (en la función) de los extremos relativos.


Máximo(−1, 4) Mínimo(1, 0)
Ejercicios















































En
hay un máximo














Problemas
Determinar a, b y c para que la función
tenga un máximo para
, un mínimo, para
y tome el valor 1 para
.





Determinar el valor de a, b, c y d para que la función
tenga un máximo en (0, 4) y un mínimo en (2, 0).



Dada la función:
Calcula a, b y c, de modo que f(x) tenga en (2, −1) un extremo local y que la curva pase por el origen de coordenadas.





Hallar a y b para qué la función:
tenga extremos en los puntos
y
. Para esos valores de a y b, ¿qué tipo de extremos tienen la función en 1 y en 2?





Resumir con IA:









Apuntes es una plataforma dirigida al estudio y la práctica de las matemáticas a través de la teoría y ejercicios interactivos que ponemos a vuestra disposición. Esta información está disponible para todo aquel/aquella que quiera profundizar en el aprendizaje de esta ciencia. Será un placer ayudaros en caso de que tengáis dudas frente algún problema, sin embargo, no realizamos un ejercicio que nos presentéis de 0 sin que hayáis si quiera intentado resolverlo. Ánimo, todo esfuerzo tiene su recompensa.
Quería solo advertir que el gráfico de la diferencial tiene el ángulo de la recta tangente con β y analíticamente está indicado con α. Saludos.
hola gracias por tu observación, pero si el artículo es de «interpretación de la derivada» es el mismo ángulo pero con símbolo diferente.
cordial saludo sera que tu me puedes ayudar a resolver un ejercicio que es dada la función f(x)= X elevada a la 2/3 por entre paréntesis (xa la 2 -8) hallar los valores de X para los cuales esta crece te lo agradecería mucho
La descripcion es erronea donde da la derivada de arcocotangente, ya que dice derivada de arcotangete, se comieron el co, lo que puede llevar a confunciones, como en mi caso que pense que era la derivada de la inversa de tangente, cuando era la derivada de la inversa de cotangente.
Hola entendemos la confusión, pero como sabes en cada lugar toman la notación en forma diferente, en este caso se tomo arccot(x) donde se repite la c para diferenciar de arctan(x).
me pueden ayudar encontrar la derivada de : y=7 elevado a la 4 + e elevado a la x-4 – ln X + 100
Medio tarde me parece mi respuesta, pero simplemente tenes que derivar cada termino independientemente:
7^4=(7.4)^3
e^x-4=e^x-4 (por formula)
lnx=1/x
100=0 (Derivando una constante en terminos de x)
Hola podrías hacernos el favor de mostrarnos la función para dar una mejor explicación.