Capítulos
Ejercicios propuestos
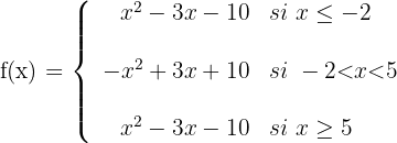
1Hallar los intervalos de crecimiento y decrecimiento de 
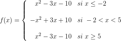
1 Escribimos el valor absoluto como una función por partes

Derivamos la función

2 Calculamos las raíces de la derivada primera, para esto igualamos la derivada a cero y resolvemos para
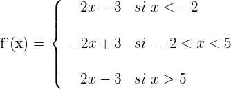
. Realizamos para cada parte de la función
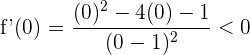
si
para
, entonces
, pero este valor no pertenece a
; así
no tiene raíces en 
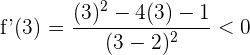
si
para
, entonces
, el cual pertenece a
; así
tiene una raíz en 
si
para
, entonces
, pero este valor no pertenece a
; así
no tiene raíces en 
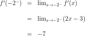
Por otra parte en los puntos
y
la derivada no existe, para esto calculamos límites laterales para la derivada en estos puntos


como las derivadas laterales no coinciden, entonces la derivada
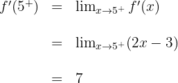
no existe. De igual manera realizamos el cálculo para 


como las derivadas laterales no coinciden, entonces la derivada
no existe.
3 Formamos intervalos abiertos con los ceros de la derivada primera y los puntos donde la derivada no existe. Nos apoyamos con la representación de los puntos en la recta real

Los intervalos que obtenemos son
y 
4 Tomamos un valor de cada intervalo (puedes tomar cualquier valor en el intervalo) y hallamos el signo que tiene en la derivada primera


5 Escribimos los intervalos de crecimiento y decrecimiento
De crecimiento: 
De decrecimiento: 

2Hallar los intervalos donde es creciente y decreciente la función 
1 Derivamos la función

2 Calculamos las raíces de la derivada primera (si existen), para esto igualamos la derivada a cero y resolvemos para 

aplicando la fórmula general de grado 2 al numerador se tiene que la ecuación anterior se anula en
. Observamos que la función y su derivada poseen una discontinuidad en
.
3 Formamos intervalos abiertos con la discontinuidad y los ceros de la derivada. Nos apoyamos con la representación de los puntos en la recta real

Los intervalos que obtenemos son
y 
4 Tomamos un valor de cada intervalo (puedes tomar cualquier valor en el intervalo) y hallamos el signo que tiene en la derivada primera
Para el intervalo
tomamos
, sustituimos en la derivada y obtenemos

Para el intervalo
tomamos
, sustituimos en la derivada y obtenemos

Para el intervalo
tomamos
, sustituimos en la derivada y obtenemos

Para el intervalo
tomamos
, sustituimos en la derivada y obtenemos


5 Escribimos los intervalos de crecimiento y decrecimiento
De crecimiento: 
De decrecimiento: 

3Hallar los intervalos donde es creciente y decreciente la función cúspide 
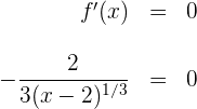
1 Derivamos la función

2 Calculamos las raíces de la derivada primera (si existen), para esto igualamos la derivada a cero y resolvemos para 

no existen valores de
en los números reales que satisfagan la ecuación anterior, por tanto la derivada primera no posee raíces. Observamos que la derivada no existe en
.
3 Formamos intervalos abiertos con la discontinuidad, en este caso no existen ceros de la derivada. Nos apoyamos con la representación de los puntos en la recta real

Los intervalos que obtenemos son
y 
4 Tomamos un valor de cada intervalo (puedes tomar cualquier valor en el intervalo) y hallamos el signo que tiene en la derivada primera
Para el intervalo
tomamos
, sustituimos en la derivada y obtenemos

Para el intervalo
tomamos
, sustituimos en la derivada y obtenemos


5 Escribimos los intervalos de crecimiento y decrecimiento
De crecimiento: 
De decrecimiento: 

4Hallar los intervalos donde es creciente y decreciente la función 
1 Derivamos la función

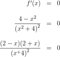
2 Calculamos las raíces de la derivada primera (si existen), para esto igualamos la derivada a cero y resolvemos para 

La ecuación anterior se anula en
. Observamos que el denominador de la ecuación nunca es cero.
3 Formamos intervalos abiertos con los ceros de la derivada. Nos apoyamos con la representación de los puntos en la recta real

Los intervalos que obtenemos son
y 
4 Tomamos un valor de cada intervalo (puedes tomar cualquier valor en el intervalo) y hallamos el signo que tiene en la derivada primera
Para el intervalo
tomamos
, sustituimos en la derivada y obtenemos

Para el intervalo
tomamos
, sustituimos en la derivada y obtenemos

Para el intervalo
tomamos
, sustituimos en la derivada y obtenemos


5 Escribimos los intervalos de crecimiento y decrecimiento
De crecimiento: 
De decrecimiento: 

5Hallar los valores de
para que la función
sea extrictamente creciente.
1 Derivamos la función

2 Para que la función sea estrictamente creciente se requiere que la derivada sea mayor a cero

Sabemos que
, entonces
.
Basta elegir
para garantizar que
para cualquier valor 

Para consultar la teoría y ejemplos pulsa aquí.









Apuntes es una plataforma dirigida al estudio y la práctica de las matemáticas a través de la teoría y ejercicios interactivos que ponemos a vuestra disposición. Esta información está disponible para todo aquel/aquella que quiera profundizar en el aprendizaje de esta ciencia. Será un placer ayudaros en caso de que tengáis dudas frente algún problema, sin embargo, no realizamos un ejercicio que nos presentéis de 0 sin que hayáis si quiera intentado resolverlo. Ánimo, todo esfuerzo tiene su recompensa.
La descripcion es erronea donde da la derivada de arcocotangente, ya que dice derivada de arcotangete, se comieron el co, lo que puede llevar a confunciones, como en mi caso que pense que era la derivada de la inversa de tangente, cuando era la derivada de la inversa de cotangente.
Hola entendemos la confusión, pero como sabes en cada lugar toman la notación en forma diferente, en este caso se tomo arccot(x) donde se repite la c para diferenciar de arctan(x).
me pueden ayudar encontrar la derivada de : y=7 elevado a la 4 + e elevado a la x-4 – ln X + 100
Medio tarde me parece mi respuesta, pero simplemente tenes que derivar cada termino independientemente:
7^4=(7.4)^3
e^x-4=e^x-4 (por formula)
lnx=1/x
100=0 (Derivando una constante en terminos de x)
Excelente contenido. Creo es posible mejorar el contenido para que sea más didáctico con más ejemplos, partiendo de lo elemental a lo complejo, para que el texto pueda ser más entendible para estudiantes de secundaria en Costa Rica.
Excelente artículo y muy dinámico.
Agradecemos tu comentario, la verdad estamos trabajando mucho para lograr tener las mejores explicaciones para que sea mas entendible al publico y para ello lo que ustedes recomienden nos ayuda en gran forma, esperamos que en un futuro seamos mejores siguiendo sus sugerencias, otra vez gracias.
Hola: El últipo ejercicio de aplicación me parece que es incorrecto ya que no está obteniendo la derivada del volumen del cono
Hola si te refieres al triángulo que gira, si se derivo el volumen, si estoy equivocado por favor indícamelo.