Capítulos
Ejercicios sobre intervalos de crecimiento y decrecimiento de funciones
Calcular los intervalos de crecimiento y decrecimiento de las funciones:

Primero se calcula la deriva de la función y se iguala a cero.

Sus raíces son 
Se divide la recta real el tres invervalos:
. Se elije un punto de cada intervalo y se sustituye en
:
Si el resultado es positivo, la función es creciente en ese intervalo.
Si el resultado es negativo, la función es decreciente en ese intervalo.

Por tanto, la función es creciente en el intervalo
y decreciente en los intervalos 

Primero se calcula la deriva de la función y se iguala a cero.

Sus raíces son 
Se divide la recta real el cuatro intervalos:
. Se elije un punto de cada intervalo y se sustituye en
:
Si el resultado es positivo, la función es creciente en ese intervalo.
Si el resultado es negativo, la función es decreciente en ese intervalo.

Por tanto, la función es creciente en los intervalos
y decreciente en los intervalos 

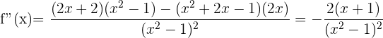
Calculando las raíces del denominador se obtienen los valores donde la función no está definida.


Se deriva la función y se calculan sus raíces.

Igualamos la derivada a cero y calculamos las raíces del numerador, que corresponden a las raíces de la función.

No tiene raíces en los números reales pues el discriminante es negativo:
Por tanto, los intervalos se forman a partir de los puntos de discontinuidad:
Después Se elije un punto de cada intervalo y se sustituye en
:
Si el resultado es positivo, la función es creciente en ese intervalo.
Si el resultado es negativo, la función es decreciente en ese intervalo.

Por tanto, la función siempre es decreciente.

Primero se calcula el dominio para conocer dónde está definida la función.


Derivamos:

Como el denominador es el valor 1, no tiene raíces la derivada. Así, evaluando en un punto de
se concluye que la gráfica es creciente:


Primero se calcula la deriva de la función y se iguala a cero.

Sus raíces son 
Se divide la recta real el dos intervalos:
. Se elije un punto de cada intervalo y se sustituye en
:
Si el resultado es positivo, la función es creciente en ese intervalo.
Si el resultado es negativo, la función es decreciente en ese intervalo.

Por tanto, la función es creciente en
y decreciente en 

Primero se calcula el dominio para conocer dónde está definida la función.
Como la función logaritmo sólo puede aplicarse a números positivos, 
Ahora se deriva la función:

Igualando a cero y despejando el logaritmo, se tiene que su raíz es
Así, se divide el dominio en dos intervalos:
. Se elije un punto de cada intervalo y se sustituye en
:
Si el resultado es positivo, la función es creciente en ese intervalo.
Si el resultado es negativo, la función es decreciente en ese intervalo.

Por tanto, la función es decreciente en
y creciente en 
Ejercicios de máximos y mínimos de una función
Calcular los máximos y mínimos de las funciones:

Se calcula la primer derivada, después se iguala a 0 y se hallan sus raíces.

Sus raíces son
Se calcula la segunda derivada y se sustituyen las raíces:
Si el resultado es positivo, las coordenadas
corresponden a un mínimo.
Si el resultado es negativo, las coordenadas
corresponden a un máximo.



Por tanto, en los puntos
la función tiene dos mínimos y en
la función tiene un máximo.

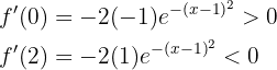
Se calcula la primer derivada, después se iguala a 0 y se hallan sus raíces.

Sus raíces son
Se calcula la segunda derivada y se sustituyen las raíces:
Si el resultado es positivo, las coordenadas
corresponden a un mínimo.
Si el resultado es negativo, las coordenadas
corresponden a un máximo.



Por tanto, en
la función tiene un mínimo y en
la función tiene un máximo.

Primero se calcula el dominio para conocer dónde está definida la función. Se sabe que el logaritmo únicamente se aplica a números positivos. Así:

Los puntos obtenidos dividen la recta real en tres intervalos
Se toma un valor de cada intervalo y se verifica que los números obtenidos son mayores que cero. El dominio es
pues:

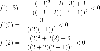
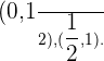
Se calcula la primer derivada, después se iguala a 0 y se hallan sus raíces.

Sus raíces son
Sólo se considera el segundo valor porque el primero no está en el dominio de la función. Se calcula la segunda derivada y se sustituye la raíz:
Si el resultado es positivo, las coordenadas
corresponden a un mínimo.
Si el resultado es negativo, las coordenadas
corresponden a un máximo.


Por tanto, en
la función tiene un máximo.

Se calcula la primer derivada, después se iguala a 0 y se hallan sus raíces.

Como la función
es de periodo
vale cero en
y
entonces la función
vale cero en
y
siendo entonces de periodo 
Se calcula la segunda derivada y se evalúan las raíces.


Por tanto, para
se obtendrán puntos máximos de la forma
y para
se obtendrán puntos mínimos de la forma 
Ejercicios de intervalos de concavidad y convexidad y los puntos de inflexión de las funciones
Hallar los intervalos de concavidad y convexidad, y los puntos de inflexión de las funciones:

Se calcula la segunda derivada, después se iguala a cero y se hallan sus raíces.

Su raíz es
Se divide la recta real en dos intervalos
y se evalúan en un punto de cada intervalo, se concluye que:
Si el resultado es positivo, la gráfica es convexa.
Si el resultado es negativo, la gráfica es cóncava.

Por tanto, la gráfica es cóncava en
y convexa en
.
Para hallar los puntos de inflexión se sustituye en la tercera derivada las raíces de la segunda derivada. Si se obtiene un valor distinto de cero, se trata de un punto de inflexión.
Como
, el punto
es un punto de inflexión.

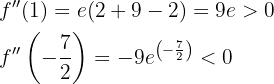
Se calcula la segunda derivada, después se iguala a cero y se hallan sus raíces.

Sus raíces son
Se divide la recta real en tres intervalos
y se evalúan en un punto de cada intervalo, se concluye que:
Si el resultado es positivo, la gráfica es convexa.
Si el resultado es negativo, la gráfica es cóncava.

Por tanto, la gráfica es cóncava en
y convexa en
.
Para hallar los puntos de inflexión se sustituye en la tercera derivada las raíces de la segunda derivada. Si se obtiene un valor distinto de cero, se trata de un punto de inflexión.
Como
,
son puntos de inflexión.

Se calcula la segunda derivada, después se iguala a cero y se hallan sus raíces.

Sus raíces son
Se divide la recta real en tres intervalos
y se evalúan en un punto de cada intervalo, se concluye que:
Si el resultado es positivo, la gráfica es convexa.
Si el resultado es negativo, la gráfica es cóncava.

Por tanto, la gráfica es cóncava en
y convexa en
.
Para hallar los puntos de inflexión se sustituye en la tercera derivada las raíces de la segunda derivada. Si se obtiene un valor distinto de cero, se trata de un punto de inflexión.
Como
son puntos de inflexión.
Problema de cotizaciones
La tendencia que sigue una cotización de una determinada sociedad, suponiendo que la bolsa permanece en servicio los días
de un mes de 30 días, está definida por:

1 Determinar las cotizaciones máxima y mínima, así como los días en que ocurrieron, en días distintos del primero y del último.
2 Determinar los periodos de tiempo en el que las acciones subieron o bajaron.

1Determinar las cotizaciones máxima y mínima, así como los días en que ocurrieron, en días distintos del primero y del último.
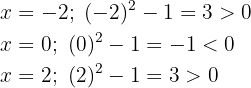
Se deriva la función, se iguala a cero y se calculan sus raíces.


Se obtiene la segunda derivada de la función y se evalúan las raíces. Entonces:
Si el valor que se obtiene es positivo, tenemos un mínimo.
Si el valor que se obtiene es negativo, tenemos un máximo.


Por tanto, al tercer día de cotizar en la bolsa la sociedad tuvo un máximo de
y al día veintisiete, un mínimo de 
2Determinar los períodos de tiempo en el que las acciones subieron o bajaron.
Se dividen los números del uno al treinta en intervalos
considerando las raíces de la primera derivada. Después se toma un valor de cada intervalo y se evalúan en ésta para conocer los intervalos donde crece o decrece la función:
Si el resultado es positivo, la función es creciente en ese intervalo.
Si el resultado es negativo, la función es decreciente en ese intervalo.

Durante los primeros tres días la cotización en la bolsa subió. Después, hasta el día veintisiete, la cotización estuvo a la baja. Posterior a este día comenzó a subir nuevamente.
Problema de rendimiento
Supóngase que el rendimiento
de un alumno, medido en porcentaje, en un examen de una hora corresponde a la expresión

donde
denota el tiempo en horas.
1 ¿En qué momentos aumenta o disminuye el rendimiento?
2 ¿En qué momentos el rendimiento es nulo?
3 ¿Cuándo se obtiene el mayor rendimiento y cuál es?

1¿En qué momentos aumenta o disminuye el rendimiento?
Se deriva la función, se iguala a cero y se calculan sus raíces.

La raíz de la primera derivada divide al intervalo
en los intervalos
Después se toma un valor de cada intervalo y se evalúan en la derivada para conocer los intervalos donde crece o decrece la función:
Si el resultado es positivo, la función es creciente en ese intervalo.
Si el resultado es negativo, la función es decreciente en ese intervalo.

Por tanto, en la primera mitad de la aplicación del examen hay un mayor rendimiento que en la segunda mitad.
2¿En qué momentos el rendimiento es nulo?
Se iguala a cero la función y se calculan sus raíces.

Así, el rendimiento es nulo al comenzar y al concluir el examen.
3¿Cuándo se obtiene el mayor rendimiento y cuál es?
Se calcula la segunda derivada y se evalúa la raíz de la primera derivada.

Por tanto, a la media hora se obtiene el mayor rendimiento. Evaluando en la función, se tiene que el rendimiento será del 
Resumir con IA:









Apuntes es una plataforma dirigida al estudio y la práctica de las matemáticas a través de la teoría y ejercicios interactivos que ponemos a vuestra disposición. Esta información está disponible para todo aquel/aquella que quiera profundizar en el aprendizaje de esta ciencia. Será un placer ayudaros en caso de que tengáis dudas frente algún problema, sin embargo, no realizamos un ejercicio que nos presentéis de 0 sin que hayáis si quiera intentado resolverlo. Ánimo, todo esfuerzo tiene su recompensa.
cordial saludo sera que tu me puedes ayudar a resolver un ejercicio que es dada la función f(x)= X elevada a la 2/3 por entre paréntesis (xa la 2 -8) hallar los valores de X para los cuales esta crece te lo agradecería mucho
La descripcion es erronea donde da la derivada de arcocotangente, ya que dice derivada de arcotangete, se comieron el co, lo que puede llevar a confunciones, como en mi caso que pense que era la derivada de la inversa de tangente, cuando era la derivada de la inversa de cotangente.
Hola entendemos la confusión, pero como sabes en cada lugar toman la notación en forma diferente, en este caso se tomo arccot(x) donde se repite la c para diferenciar de arctan(x).
me pueden ayudar encontrar la derivada de : y=7 elevado a la 4 + e elevado a la x-4 – ln X + 100
Medio tarde me parece mi respuesta, pero simplemente tenes que derivar cada termino independientemente:
7^4=(7.4)^3
e^x-4=e^x-4 (por formula)
lnx=1/x
100=0 (Derivando una constante en terminos de x)
Excelente contenido. Creo es posible mejorar el contenido para que sea más didáctico con más ejemplos, partiendo de lo elemental a lo complejo, para que el texto pueda ser más entendible para estudiantes de secundaria en Costa Rica.
Excelente artículo y muy dinámico.
Agradecemos tu comentario, la verdad estamos trabajando mucho para lograr tener las mejores explicaciones para que sea mas entendible al publico y para ello lo que ustedes recomienden nos ayuda en gran forma, esperamos que en un futuro seamos mejores siguiendo sus sugerencias, otra vez gracias.
Hola podrías hacernos el favor de mostrarnos la función para dar una mejor explicación.