Radicales y sus derivadas
Definimos a la raíz enésima como la función inversa de la enésima potencia. En otras palabras, si tenemos

entonces
. Asimismo, denotamos los radicales como
. De este modo, si tenemos la función
, entonces podemos calcular su derivada utilizando la regla de la derivada de una potencia:

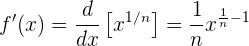
Si notamos que
, entonces tenemos

Es decir,

Si tomamos en cuenta la regla de la cadena (con
), entonces

Nota: No es necesario memorizar la fórmula para la derivada de una raíz. Basta con recordar que
y luego utilizar la regla de la derivada de una potencia. Sin embargo, podemos ahorrar tiempo al calcular las derivadas si nos aprendemos la fórmula.
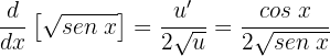
Nota: El caso particular de la raíz cuadrada (con
) tiene la derivada

La cual es una derivada bastante común.
Ejercicios resueltos
Calcula la derivada de las siguientes funciones:

Para calcular la derivada basta con utilizar la fórmula de la raíz cuadrada.
Notemos que
, por lo que
. Así, si utilizamos la fórmula con la regla de la cadena, tenemos


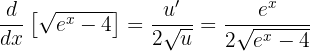
Para calcular la derivada basta con utilizar la fórmula de la raíz cuadrada.
Notemos que
, por lo que
. Así, si utilizamos la fórmula con la regla de la cadena, tenemos


Para calcular la derivada basta con utilizar la fórmula de la raíz cuadrada.
Notemos que
, por lo que
. Así, si utilizamos la fórmula con la regla de la cadena, tenemos


Utilizamos la fórmula junto con la regla de la cadena, con
y
:

Observemos que, en lugar de utilizar la fórmula, podemos trabajar con la función como

por lo que la derivada sería

como
, entonces tenemos

Luego pasamos la potencia negativa al denominador y simplificamos la fracción:

que es exactamente el mismo resultado que habíamos obtenido previamente. Aquí podemos observar que es más rápido derivar si nos aprendemos la fórmula de la derivada de una raíz

Utilizamos la fórmula junto con la regla de la cadena, con
y
:

Observemos que, en lugar de utilizar la fórmula, podemos trabajar con la función como

por lo que la derivada sería

como
, entonces tenemos

Luego pasamos la potencia negativa al denominador y simplificamos la fracción:

que es exactamente el mismo resultado que habíamos obtenido previamente. Aquí podemos observar que es más rápido derivar si nos aprendemos la fórmula de la derivada de una raíz

Utilizamos la fórmula junto con la regla de la cadena, con
y
:

es decir

Observemos que, en lugar de utilizar la fórmula, podemos trabajar con la función como

por lo que la derivada sería

como
, entonces tenemos

Luego pasamos la potencia negativa al denominador y simplificamos la fracción:

que es exactamente el mismo resultado que habíamos obtenido previamente. Aquí podemos observar que es más rápido derivar si nos aprendemos la fórmula de la derivada de una raíz

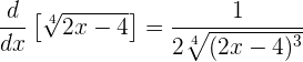
Aquí también utilizamos la fórmula junto con la regla de la cadena. En este caso tenemos
, por lo que
. Así,

Por lo que


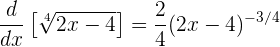
Como en los ejemplos anteriores, sólo es cuestión de aplicar la fórmula con
y
. Así,

la cual ya no se puede simplificiar.

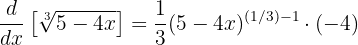
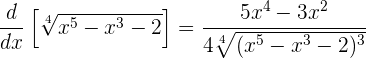
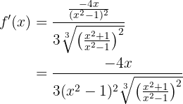
Notemos que el radicando es una función más complicada que las anteriores. Por este motivo, conviene utilizar la fórmula directamente pero derivar aparte la función

cuya derivada es, por medio de la regla de la cadena,

Por lo tanto, la derivada es

Luego metemos el término
dentro de la raíz; por lo tanto, debemos elevarlo a la sexta potencia dentro de la raiz:

La cual es la derivada que buscábamos.

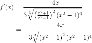
Al igual que en el caso anterior, conviene primero derivar al argumento de la raiz:

cuya derivada es

De este modo, la derivada de la función es

Metemos el término
dentro del radical:

La cual es la derivada que estábamos buscando.
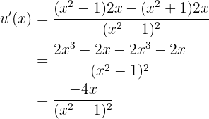
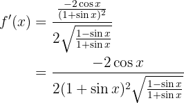
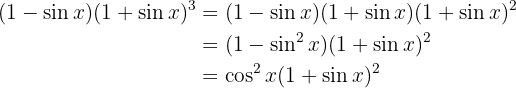
Observa que podemos simplificar, al notar que el radicando cumple

Nota que
, por lo que tenemos que

sin embargo
no es siempre positivo, por lo que

de esta forma

Que es lo más que se puede simplificar.
Resumir con IA:









Apuntes es una plataforma dirigida al estudio y la práctica de las matemáticas a través de la teoría y ejercicios interactivos que ponemos a vuestra disposición. Esta información está disponible para todo aquel/aquella que quiera profundizar en el aprendizaje de esta ciencia. Será un placer ayudaros en caso de que tengáis dudas frente algún problema, sin embargo, no realizamos un ejercicio que nos presentéis de 0 sin que hayáis si quiera intentado resolverlo. Ánimo, todo esfuerzo tiene su recompensa.
cordial saludo sera que tu me puedes ayudar a resolver un ejercicio que es dada la función f(x)= X elevada a la 2/3 por entre paréntesis (xa la 2 -8) hallar los valores de X para los cuales esta crece te lo agradecería mucho
La descripcion es erronea donde da la derivada de arcocotangente, ya que dice derivada de arcotangete, se comieron el co, lo que puede llevar a confunciones, como en mi caso que pense que era la derivada de la inversa de tangente, cuando era la derivada de la inversa de cotangente.
Hola entendemos la confusión, pero como sabes en cada lugar toman la notación en forma diferente, en este caso se tomo arccot(x) donde se repite la c para diferenciar de arctan(x).
me pueden ayudar encontrar la derivada de : y=7 elevado a la 4 + e elevado a la x-4 – ln X + 100
Medio tarde me parece mi respuesta, pero simplemente tenes que derivar cada termino independientemente:
7^4=(7.4)^3
e^x-4=e^x-4 (por formula)
lnx=1/x
100=0 (Derivando una constante en terminos de x)
Excelente contenido. Creo es posible mejorar el contenido para que sea más didáctico con más ejemplos, partiendo de lo elemental a lo complejo, para que el texto pueda ser más entendible para estudiantes de secundaria en Costa Rica.
Excelente artículo y muy dinámico.
Agradecemos tu comentario, la verdad estamos trabajando mucho para lograr tener las mejores explicaciones para que sea mas entendible al publico y para ello lo que ustedes recomienden nos ayuda en gran forma, esperamos que en un futuro seamos mejores siguiendo sus sugerencias, otra vez gracias.
Hola podrías hacernos el favor de mostrarnos la función para dar una mejor explicación.