Capítulos
Primeras derivadas
La derivada es un limite hacia el cual tiende el cociente entre el incremento de una función y el incremento arbitrario de la variable independiente, cuando este último tiende a cero.
Un ejemplo de la vida real de la derivada es cuando se lanza una pelota hacia arriba y la variación de su altura está dada por
y derivando puedo saber la velocidad en cualquier instante de tiempo.
Si derivamos una función
obtenemos la derivada primera,
.
Si volvemos a derivar obtenemos una nueva función que se llama derivada segunda,
.
Si volvemos a derivar obtenemos la derivada tercera,
.
Si derivamos otra vez obtenemos la cuarta derivada,
y así sucesivamente.
Formulas de derivadas
Derivada de una constante.
1
.
Derivada de
.
2
.
Derivada de una constante por una variable.
3
.
Derivada de la suma y resta de variables.
4
.
Derivada de
elevada a una potencia.
5
.
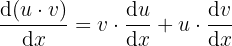
Derivada de la multiplicacion de dos variables.
6
.
Derivada de un función racional.
7
.
Derivada de la función trigonométrica del seno.
8
.
Derivada de la función trigonométrica del coseno.
9
.
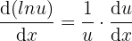
Derivada de la función logarítmica.
10
.
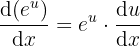
Derivada de la función exponencial.
11
.
Ejemplo de primera derivada
1 Calcular la primera derivada de la función
.
Por ser un polinomio derivamos termino a termino

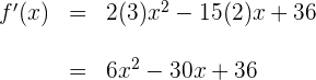
2 Calcular la primera derivada de la función
.
Por ser un polinomio derivamos termino a termino

Ejemplo de la segunda derivada
1 Calcular la segunda derivada de la función
.
En el ejemplo anterior calculamos la primera derivada
.
Por ser un polinomio derivamos termino a termino

2 Calcular la segunda derivada de la función
.
En el ejemplo anterior calculamos la primera derivada
.
Por ser un polinomio derivamos termino a termino

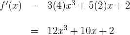
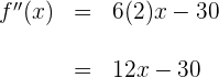
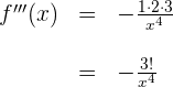
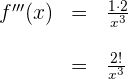
Ejemplo de la tercera derivada
1 Calcular la tercera derivada de la función
.
En el ejemplo anterior calculamos la segunda derivada
.
Por ser un polinomio derivamos termino a termino

2Calcular la tercera derivada de la función
.
En el ejemplo anterior calculamos la segunda derivada
.
Por ser un polinomio derivamos termino a termino

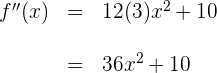
Ejemplo de la cuarta derivada
1 Calcular la cuarta derivada de la función
.
En el ejemplo anterior calculamos la tercera derivada
.
Por ser una constante solo queda

2 Calcular la cuarta derivada de la función
.
En el ejemplo anterior calculamos la tercera derivada
.
Por ser un polinomio derivamos termino a termino

Ejemplo de la quinta derivada
1 Calcular la quinta derivada de la función
.
En el ejemplo anterior calculamos la cuarta derivada
.
Por ser un polinomio derivamos termino a termino

Derivada enésima
En algunos casos, podemos encontrar una fórmula general para cualquiera de las derivadas sucesivas (y para todas ellas). Esta fórmula recibe el nombre de derivada enésima, f'n(x).
Ejemplo de la enésima derivada de una función racional
Calcular la enésima derivada de la función
.
Calculamos la primera derivada
Por ser una función racional

Calculamos la segunda derivada
Por ser una función racional

Calculamos la tercera derivada
Por ser una función racional

Por ser una función racional y generalizando obtenemos la enésima derivada

Ejemplo de la enésima derivada de una función logarítmica
Calcular la enésima derivada de la función
.
Calculamos la primera derivada
Por ser una función logarítmica

Calculamos la segunda derivada
Por ser una función racional

Calculamos la tercera derivada
Por ser una función racional

Calculamos la cuarta derivada
Por ser una función racional

Por ser una función racional y generalizando obtenemos la enésima derivada

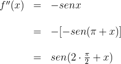
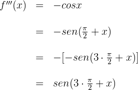
Ejemplo de enésima derivada de una función trigonométrica
Calcular la enésima derivada de la función
.
Calculamos la primera derivada
Por ser una función trigonométrica y aplicando formulas de identidades

Calculamos la segunda derivada
Por ser una función trigonométrica y aplicando formulas de identidades

Calculamos la tercera derivada
Por ser una función trigonométrica y aplicando formulas de identidades

Por ser una función trigonométrica y generalizando obtenemos la enésima derivada

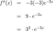
Ejemplo de enésima derivada de la función exponencial
Calcular la enésima derivada de la función
.
Calculamos la primera derivada
Por ser una función exponencial

Calculamos la segunda derivada
Por ser una función exponencial

Calculamos la tercera derivada
Por ser una función exponencial

Por ser una función exponencial y generalizando obtenemos la enésima derivada

Resumir con IA:









Apuntes es una plataforma dirigida al estudio y la práctica de las matemáticas a través de la teoría y ejercicios interactivos que ponemos a vuestra disposición. Esta información está disponible para todo aquel/aquella que quiera profundizar en el aprendizaje de esta ciencia. Será un placer ayudaros en caso de que tengáis dudas frente algún problema, sin embargo, no realizamos un ejercicio que nos presentéis de 0 sin que hayáis si quiera intentado resolverlo. Ánimo, todo esfuerzo tiene su recompensa.
cordial saludo sera que tu me puedes ayudar a resolver un ejercicio que es dada la función f(x)= X elevada a la 2/3 por entre paréntesis (xa la 2 -8) hallar los valores de X para los cuales esta crece te lo agradecería mucho
La descripcion es erronea donde da la derivada de arcocotangente, ya que dice derivada de arcotangete, se comieron el co, lo que puede llevar a confunciones, como en mi caso que pense que era la derivada de la inversa de tangente, cuando era la derivada de la inversa de cotangente.
Hola entendemos la confusión, pero como sabes en cada lugar toman la notación en forma diferente, en este caso se tomo arccot(x) donde se repite la c para diferenciar de arctan(x).
me pueden ayudar encontrar la derivada de : y=7 elevado a la 4 + e elevado a la x-4 – ln X + 100
Medio tarde me parece mi respuesta, pero simplemente tenes que derivar cada termino independientemente:
7^4=(7.4)^3
e^x-4=e^x-4 (por formula)
lnx=1/x
100=0 (Derivando una constante en terminos de x)
Excelente contenido. Creo es posible mejorar el contenido para que sea más didáctico con más ejemplos, partiendo de lo elemental a lo complejo, para que el texto pueda ser más entendible para estudiantes de secundaria en Costa Rica.
Excelente artículo y muy dinámico.
Agradecemos tu comentario, la verdad estamos trabajando mucho para lograr tener las mejores explicaciones para que sea mas entendible al publico y para ello lo que ustedes recomienden nos ayuda en gran forma, esperamos que en un futuro seamos mejores siguiendo sus sugerencias, otra vez gracias.
Hola podrías hacernos el favor de mostrarnos la función para dar una mejor explicación.