Ejercicios del teorema de Rolle
Estudiar si se verifica el teorema de Rolle en el intervalo
de la función:

1 En primer lugar comprobamos que la función es continua en
. Para ello calculamos los límites laterales

Como los límites laterales son iguales, entonces
.
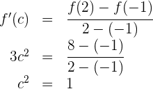
Calculamos
. Como el límite en
coincide con su evaluación, entonces la función es continua en
.
2 En segundo lugar comprobamos si la función es derivable en
, para esto derivamos la función

Como
, entonces concluimos que la función no es derivable en
, luego la función no es derivable en el intervalo
y por tanto no se cumple el teorema de Rolle.
Ejercicios del teorema de Rolle
¿Es aplicable el teorema de Rolle a la función
en el intervalo
?
1 En primer lugar calculamos el dominio de la función

2 La función es continua en el intervalo
y derivable en
, porque los intervalos están contenidos en 
Además se cumple que
, por tanto es aplicable el teorema de Rolle.
Ejercicios del teorema de Rolle
Comprobar que la ecuación
tiene una única solución real.
1 Como se trata de un polinomio, entonces la función es continua y derivable en todo 
2 Verificamos el teorema de Bolzano en el intervalo
, para ello evaluamos en los extremos el intervalo
y
, por tanto es aplicable el teorema de Bolzano y se tiene que existe una raiz en el intervalo
.
3 Verificamos el teorema de Rolle, para ello derivamos la función

Como la derivada no se anula en ningún valor (siempre es positiva) está en contradicción con el teorema de Rolle, por tanto sólo tiene una raíz real.
Ejercicio del teorema de Lagrange
¿Se puede aplicar el teorema de Lagrange a
en
?
1 Verificamos que la función sea continua en el intervalo
lo cual se cumple ya que la función es polinomial.
2 Verificamos que la función sea derivable en el intervalo
lo cual se cumple ya que
es polinomial
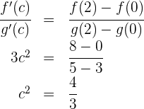
3 Se cumplen las hipótesis del teorema de Lagrange, por lo que existe
tal que

Obtenemos los valores
. Tomamos
, ya que
y observamos que
.
Ejercicio del teorema de Cauchy
Comprobar si se cumplen las hipótesis del teorema de Cauchy para las funciones
y
en el intervalo
.
1 Las funciones
y
son continuas en el intervalo
y derivables en
, por ser funciones polinómicas.
2 Se cumple que
, por lo tanto se verifica el teorema de Cauchy
3 Calculamos las derivadas de las funciones


4 Evaluamos en la fórmula del teorema de Cauchy

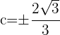
Las raíces son 
5 Tomamos
, ya que 
Como
, concluimos que el valor buscado es 
Ejercicios de la regla de L'Hôpital
Resolver los siguientes límites:
¿Vives en la capital andaluza? ¡No te pierdas nuestras clases particulares matematicas Sevilla!

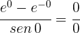
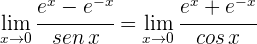
1 Evaluando
se obtiene la indeterminación

2 Derivamos el numerador y el denominador


3 Aplicamos la regla de L'Hôpital

4 Resolvemos el límite obtenido

Ejercicios de la regla de L'Hôpital

1 Para
se obtiene la indeterminación 
2 Derivamos el numerador y el denominador


3 Aplicamos la regla de L'Hôpital

4 Aplicamos nuevamente la regla de L'Hôpital al elemento del denominador

5 Aplicamos nuevamente la regla de L'Hôpital

6 Así, el límite es

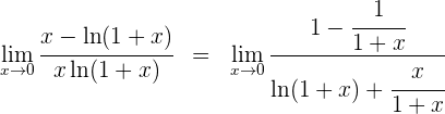
Ejercicios de la regla de L'Hôpital

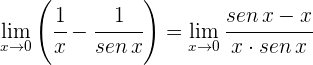
1 Para
se obtiene la indeterminación 
2 Sumamos las fracciones

Para
se obtiene la indeterminación 
3 Calculamos las derivadas


4 Aplicamos la regla de L'Hôpital

Para
se obtiene la indeterminación 
5 Aplicamos nuevamente la regla de L'Hôpital

Ejercicios de la regla de L'Hôpital

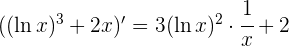
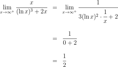
1 Para
se obtiene la indeterminación 
2 Calculamos las derivadas


3 Aplicamos la regla de L'Hôpital

Ejercicios de la regla de L'Hôpital

1 Para
se obtiene la indeterminación 
2 Calculamos las derivadas


3 Aplicamos la regla de L'Hôpital

Ejercicios de la regla de L'Hôpital

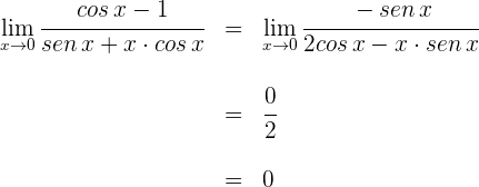
1 Para
se obtiene la indeterminación 
2 Escribimos
en términos de senos y cosenos

Para
se obtiene la indeterminación 
3 Calculamos las derivadas


4 Aplicamos la regla de L'Hôpital

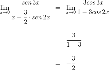
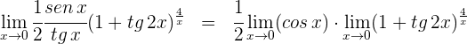
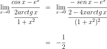
Ejercicios de la regla de L'Hôpital

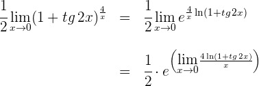
1 Escribimos
en términos de senos y cosenos; luego aplicamos límites

Como
el límite se simplifica en

2 Para
se obtiene la indeterminación 
3 Escribimos
. Aplicando logaritmo natural y la exponencial obtenemos

4 Escribimos nuevamente el límite y aplicamos que la función exponencial es continua

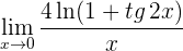
Ahora resta calcular

5 Para
se obtiene la indeterminación
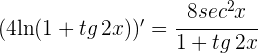
. Calculamos las derivadas del numerador y denominador


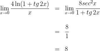
6 Aplicamos la regla de L'Hôpital

7 Así, el límite buscado es

Ejercicios de la regla de L'Hôpital

1 Para
se obtiene la indeterminación 
2 Calculamos las derivadas


3 Aplicamos la regla de L'Hôpital

4 Para
se obtiene la indeterminación
, por lo que aplicamos de nuevo la regla de L'Hôpital

Ejercicios de la regla de L'Hôpital

1 Para
se obtiene la indeterminación 
2 Calculamos las derivadas


3 Aplicamos la regla de L'Hôpital

4 Para
se obtiene la indeterminación
, por lo que aplicamos de nuevo la regla de L'Hôpital

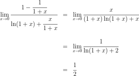
Ejercicios de la regla de L'Hôpital

1 Para
se obtiene la indeterminación
. Realizamos la suma de fracciones

Para
se obtiene la indeterminación
.
2 Calculamos las derivadas


3 Aplicamos la regla de L'Hôpital

4 Para
se obtiene la indeterminación
, por lo que primero simplificamos y luego aplicamos de nuevo la regla de L'Hôpital

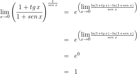
Ejercicios de la regla de L'Hôpital

1 Para
se obtiene la indeterminación 
2 Escribimos el límite empleando logaritmo natural y la exponencial

3 Escribimos nuevamente el límite y aplicamos que la función exponencial es continua

Ahora resta calcular

4 Para
se obtiene la indeterminación
. Calculamos las derivadas del numerador y denominador


5 Aplicamos la regla de L'Hôpital

6 Así, el límite buscado es

Ejercicios de la regla de L'Hôpital

1 Para
se obtiene la indeterminación 
2 Escribimos el límite empleando logaritmo natural y la exponencial

3 Escribimos nuevamente el límite y aplicamos que la función exponencial es continua

Ahora resta calcular

4 Para
se obtiene la indeterminación
. Calculamos las derivadas del numerador y denominador


5 Aplicamos la regla de L'Hôpital

Para
se obtiene la indeterminación
. Aplicamos nuevamente la regla de L'Hôpital

6 Así, el límite buscado es

Resumir con IA:

Apuntes es una plataforma dirigida al estudio y la práctica de las matemáticas a través de la teoría y ejercicios interactivos que ponemos a vuestra disposición. Esta información está disponible para todo aquel/aquella que quiera profundizar en el aprendizaje de esta ciencia. Será un placer ayudaros en caso de que tengáis dudas frente algún problema, sin embargo, no realizamos un ejercicio que nos presentéis de 0 sin que hayáis si quiera intentado resolverlo. Ánimo, todo esfuerzo tiene su recompensa.
cordial saludo sera que tu me puedes ayudar a resolver un ejercicio que es dada la función f(x)= X elevada a la 2/3 por entre paréntesis (xa la 2 -8) hallar los valores de X para los cuales esta crece te lo agradecería mucho
La descripcion es erronea donde da la derivada de arcocotangente, ya que dice derivada de arcotangete, se comieron el co, lo que puede llevar a confunciones, como en mi caso que pense que era la derivada de la inversa de tangente, cuando era la derivada de la inversa de cotangente.
Hola entendemos la confusión, pero como sabes en cada lugar toman la notación en forma diferente, en este caso se tomo arccot(x) donde se repite la c para diferenciar de arctan(x).
me pueden ayudar encontrar la derivada de : y=7 elevado a la 4 + e elevado a la x-4 – ln X + 100
Medio tarde me parece mi respuesta, pero simplemente tenes que derivar cada termino independientemente:
7^4=(7.4)^3
e^x-4=e^x-4 (por formula)
lnx=1/x
100=0 (Derivando una constante en terminos de x)
Excelente contenido. Creo es posible mejorar el contenido para que sea más didáctico con más ejemplos, partiendo de lo elemental a lo complejo, para que el texto pueda ser más entendible para estudiantes de secundaria en Costa Rica.
Excelente artículo y muy dinámico.
Agradecemos tu comentario, la verdad estamos trabajando mucho para lograr tener las mejores explicaciones para que sea mas entendible al publico y para ello lo que ustedes recomienden nos ayuda en gran forma, esperamos que en un futuro seamos mejores siguiendo sus sugerencias, otra vez gracias.
Hola podrías hacernos el favor de mostrarnos la función para dar una mejor explicación.