Capítulos
Los teoremas fundamentales del cálculo diferencial, como los teoremas de Rolle, Bolzano y Lagrange, son herramientas poderosas para entender el comportamiento de las funciones y sus derivadas. Estos teoremas no solo son esenciales en el análisis de funciones, sino que también forman la base de importantes resultados en análisis matemático.
En esta sección, encontrarás ejercicios resueltos que te ayudarán a comprender y aplicar estos teoremas de manera práctica. Resolver estos problemas te permitirá no solo familiarizarte con las condiciones y conclusiones de cada teorema, sino también aprender cómo se interrelacionan entre sí en el estudio de funciones continuas y derivables.
Ejercicios del teorema de Rolle
¿Es aplicable el teorema de Rolle a la función
en el intervalo
?
Escribimos como función a trozos

La función es continua en
.
No es aplicable el teorema de Rolle porque la solución no es derivable en el punto
ya que las derivadas en cada región tienen valores distintos, y de ser derivable deberían ser iguales .

¿Es aplicable el teorema de Rolle a la función
en el intervalo
?
Escribimos como función a trozos

La función es continua en
.
No es aplicable el teorema de Rolle porque la solución no es derivable en el punto
ya que las derivadas en cada región tienen valores distintos, y de ser derivable deberían ser iguales .

Estudiar si la función
satisface las condiciones del teorema de Rolle en los intervalos
y
, en caso afirmativo determinar los valores de
.
es una función continua en los intervalos
y
, y derivable en los intervalos abiertos
y
por ser una función polinómica.
Además se cumple que:

Por tanto es aplicable el teorema de Rolle. Significa que ahora busquemos el punto donde la derivada de la función vale cero.
La derivada de la función es
, entonces ahora valuamos en
e igualamos con cero, quedando la ecuación
, cuya solución es
.
En otras palabras
y 
¿Satisface la función
las condiciones del teorema de Rolle en el intervalo
?
La función es continua en el intervalo
y derivable en
por ser una función polinómica.
Sin embargo, no cumple teorema de Rolle porque
.
Probar que la ecuación
tiene una única solución en
.
Vamos a demostrarlo por reducción al absurdo.
Supongamos que la función
tiene dos raíces distintas
y
con
, entonces por ser raíces, se tiene que
.
Y como la función es continua y derivable en todo
por ser una función polinómica, podemos aplicar el teorema del Rolle.
Por lo tanto existe un
tal que
.
Entonces, si
se tiene
. En otras palabras
es raíz real del polinomio
, lo cual es falso, ya que no admite raices reales porque su discriminante es negativo 
Concluyendo que, como la derivada no se anula en ningún valor está en contradicción con el teorema de Rolle, por lo que la hipótesis de que existen dos raíces es falsa.
Ejercicios del teorema de Bolzano
¿Cuántas raíces reales tiene la ecuación
?
La función
es continua y derivable en 
Ahora, sabiendo estas características podemos ocupar el Teorema de Bolzano, el cual nos indica que si encontramos a dos reales donde la función adquiera signos distintos al evaluar, entonces se tendrá por lo menos un real donde la función se anula.
Los valores propuestos son
y
, veamos:


Por tanto la ecuación tiene al menos una solución en el intervalo
.
Por otro lado observamos que
tiene discriminante negativo
, significa que la función no tiene reales donde se tenga un máximo o mínimo, y además para todo
se tiene
, es decir que es creciente no monotona, por lo tanto el valor que encontramos que anula a la función, es único.
¿Cuántas raíces reales tiene la ecuación
?
La función
es continua y derivable en 
Ahora, sabiendo estas características podemos ocupar el Teorema de Bolzano, el cual nos indica que si encontramos a dos reales donde la función adquiera signos distintos al evaluar, entonces se tendrá por lo menos un real donde la función se anula.
Los valores propuestos son
y
, veamos:


Por tanto la ecuación tiene al menos una solución en el intervalo
.
Por otro lado observamos que
se anula en
, significa que la función tiene un máximo y mínimo fuera
, luego la función tiene tres raíces reales.
Demostrar que la ecuación
tiene una única solución real en el intervalo
.
La función
es continua y derivable en
·
Significa que por el Teorema de Bolzano, al encontrar dos valores donde la función adquiera signos distintos:

podemos decir que la ecuación tiene al menos una solución en el intervalo
.
Ahora, al sacar su derivada
, nos damos cuenta que ella no se anula en
, luego la función no posee máximos y mínimos locales, por lo que sólo tiene una raiz.
Demostrar que la ecuación
tiene una única solución real en el intervalo
.
La función
es continua y derivable en
·
Significa que por el Teorema de Bolzano, al encontrar dos valores donde la función adquiera signos distintos:

podemos decir que la ecuación tiene al menos una solución en el intervalo
.
Ahora, al sacar su derivada
, nos damos cuenta que ella se anula
en los puntos
y
, es decir, el máximo y mínimo de la función, se encuentra fuera de
, provocando que el punto donde se anula la función solamente deba ser uno solo.
De haber dos, los maximos y minimos de la función deberian encontrarse dentro del intervalo ya que la función es continua.
Comprobar que la ecuación
tiene al menos una solución real en el intervalo
.
La función
es continua y derivable en
·
Significa que por el Teorema de Bolzano, al encontrar dos valores donde la función adquiera signos distintos:

podemos decir que la ecuación tiene al menos una solución en el intervalo
.
Ejercicios del teorema de Lagrange
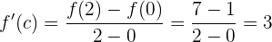
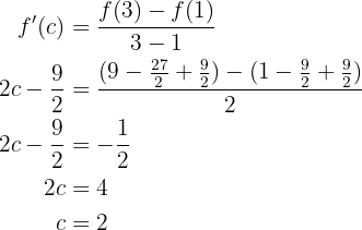
¿Se puede aplicar el teorema de Lagrange (TVM) a
en
?
es continua en
y derivable en
por tanto se puede aplicar el teorema del valor medio.
Entonces existe un
tal que
y si
, entonces se tiene la ecuación
cuya solución es
.
¿Se puede aplicar el teorema del valor medio a
en
?
No, porque la función no es continua en
ya que no esta definida en
.
En la sección de la parábola comprendida entre los puntos
y
, hallar un punto donde la tangente sea paralela al segmento que une a los puntos
y
.
Los puntos
y
pertenecen a la parábola de ecuación
, entonces al evaluarlos en ella, se genera el siguiente sistema de ecuaciones
cuya solución es
.
Significa que la parábola tiene la ecuación

Por ser la función polinómica se puede aplicar el teorema del valor medio en el intervalo
. Por lo tanto, existe
tal que
ahora solamente evaluemos en la función para conocer el punto
.
Por lo tanto, el punto buscado es 
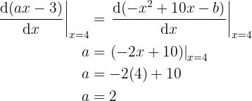
Calcular un punto del intervalo
en el que la tangente a la curva
sea paralela a la recta determinada por los puntos
y
. ¿Qué teorema garantiza la existencia de dicho punto?
Hallamos la pendiente de la recta que pasa por los dos puntos.
ahora, no perdamos de vista que el valor
que calculamos es igual a la pendiente de la recta tangente a la curva en el punto, ya que rectas paralelas tienen pendientes iguales.
Por otro lado, por ser
continua en
y derivable en
se puede aplicar el teorema del valor medio:
Por lo tanto, existe
tal que 
cuya solución es
, de donde seleccionamos a
, por pertenecer al intervalo 
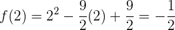
Determinar
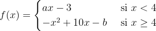
y
para que la función
cumpla las hipótesis del teorema de Lagrange en el intervalo
.
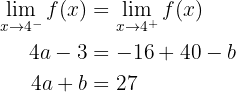
En primer lugar se debe cumplir que la función sea continua en 

generándose la ecuación 
En segundo lugar se debe cumplir que la función sea derivable en 

Significa que para que se cumpla el Teorema de Lagrange TVM, los valores deben ser
y 









Apuntes es una plataforma dirigida al estudio y la práctica de las matemáticas a través de la teoría y ejercicios interactivos que ponemos a vuestra disposición. Esta información está disponible para todo aquel/aquella que quiera profundizar en el aprendizaje de esta ciencia. Será un placer ayudaros en caso de que tengáis dudas frente algún problema, sin embargo, no realizamos un ejercicio que nos presentéis de 0 sin que hayáis si quiera intentado resolverlo. Ánimo, todo esfuerzo tiene su recompensa.
cordial saludo sera que tu me puedes ayudar a resolver un ejercicio que es dada la función f(x)= X elevada a la 2/3 por entre paréntesis (xa la 2 -8) hallar los valores de X para los cuales esta crece te lo agradecería mucho
La descripcion es erronea donde da la derivada de arcocotangente, ya que dice derivada de arcotangete, se comieron el co, lo que puede llevar a confunciones, como en mi caso que pense que era la derivada de la inversa de tangente, cuando era la derivada de la inversa de cotangente.
Hola entendemos la confusión, pero como sabes en cada lugar toman la notación en forma diferente, en este caso se tomo arccot(x) donde se repite la c para diferenciar de arctan(x).
me pueden ayudar encontrar la derivada de : y=7 elevado a la 4 + e elevado a la x-4 – ln X + 100
Medio tarde me parece mi respuesta, pero simplemente tenes que derivar cada termino independientemente:
7^4=(7.4)^3
e^x-4=e^x-4 (por formula)
lnx=1/x
100=0 (Derivando una constante en terminos de x)
Excelente contenido. Creo es posible mejorar el contenido para que sea más didáctico con más ejemplos, partiendo de lo elemental a lo complejo, para que el texto pueda ser más entendible para estudiantes de secundaria en Costa Rica.
Excelente artículo y muy dinámico.
Agradecemos tu comentario, la verdad estamos trabajando mucho para lograr tener las mejores explicaciones para que sea mas entendible al publico y para ello lo que ustedes recomienden nos ayuda en gran forma, esperamos que en un futuro seamos mejores siguiendo sus sugerencias, otra vez gracias.
Hola podrías hacernos el favor de mostrarnos la función para dar una mejor explicación.