Capítulos
Formula para derivar una función logarítmica
Cuando tenemos una función logarítmica

usaremos la siguiente formula para derivarla:

O visto de otra forma, como

Entonces, la formula descrita arriba, es equivalente a:

Derivada con logaritmo neperiano
Si tengo una función con logaritmo natural o neperiano

La derivada es

Ejercicios de derivada de la función logaritmica


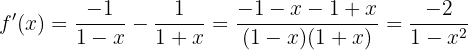
Identificamos
y derivamos


Usamos la fórmula de la derivada de funciones logarítmicas



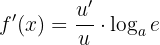
Para derivar necesitamos mostrar a
como composición de dos funciones derivables

Entonces

Derivamos
y
, tomando en cuenta la fórmula para derivar funciones logarítmicas

Usamos regla de la cadena y desarrollamos






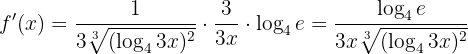
Notamos que la función es un producto de funciones

Derivamos tomando en cuenta la fórmula para derivar funciones logarítmicas

Usamos regla del producto

Sustituimos y desarrollamos



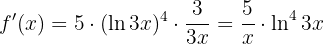
Para derivar necesitamos mostrar a
como composición de dos funciones derivables

Entonces

Derivamos
y
, tomando en cuenta la fórmula para derivar funciones logarítmicas

Usamos regla de la cadena y desarrollamos


Resumir con IA:














Apuntes es una plataforma dirigida al estudio y la práctica de las matemáticas a través de la teoría y ejercicios interactivos que ponemos a vuestra disposición. Esta información está disponible para todo aquel/aquella que quiera profundizar en el aprendizaje de esta ciencia. Será un placer ayudaros en caso de que tengáis dudas frente algún problema, sin embargo, no realizamos un ejercicio que nos presentéis de 0 sin que hayáis si quiera intentado resolverlo. Ánimo, todo esfuerzo tiene su recompensa.
cordial saludo sera que tu me puedes ayudar a resolver un ejercicio que es dada la función f(x)= X elevada a la 2/3 por entre paréntesis (xa la 2 -8) hallar los valores de X para los cuales esta crece te lo agradecería mucho
La descripcion es erronea donde da la derivada de arcocotangente, ya que dice derivada de arcotangete, se comieron el co, lo que puede llevar a confunciones, como en mi caso que pense que era la derivada de la inversa de tangente, cuando era la derivada de la inversa de cotangente.
Hola entendemos la confusión, pero como sabes en cada lugar toman la notación en forma diferente, en este caso se tomo arccot(x) donde se repite la c para diferenciar de arctan(x).
me pueden ayudar encontrar la derivada de : y=7 elevado a la 4 + e elevado a la x-4 – ln X + 100
Medio tarde me parece mi respuesta, pero simplemente tenes que derivar cada termino independientemente:
7^4=(7.4)^3
e^x-4=e^x-4 (por formula)
lnx=1/x
100=0 (Derivando una constante en terminos de x)
Excelente contenido. Creo es posible mejorar el contenido para que sea más didáctico con más ejemplos, partiendo de lo elemental a lo complejo, para que el texto pueda ser más entendible para estudiantes de secundaria en Costa Rica.
Excelente artículo y muy dinámico.
Agradecemos tu comentario, la verdad estamos trabajando mucho para lograr tener las mejores explicaciones para que sea mas entendible al publico y para ello lo que ustedes recomienden nos ayuda en gran forma, esperamos que en un futuro seamos mejores siguiendo sus sugerencias, otra vez gracias.
Hola podrías hacernos el favor de mostrarnos la función para dar una mejor explicación.