La derivada de una función
es una función que mide la razón de cambio instantánea de
en
. Desde un punto de vista geométrico, la derivada es la función que asigna a cada punto en la gráfica de
, la pendiente de la recta tangente a la gráfica en dicho punto
La derivada se denota por
y se expresa como

Como calcular la derivada
Para calcular la derivada de una función basta con sustituir y calcular el límite en la expresión para la derivada; sin embargo, en ocasiones esto puede generar confusión al momento de realizar el desarrollo de toda la expresión. Por ello, es recomendable llevarlo a cabo en varios pasos
1 Calcular 
2 Hallar la diferencia 
3 Calcular el cociente 
4 Hallar el límite cuando
tiende a 
Ejemplos de derivada
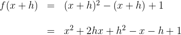
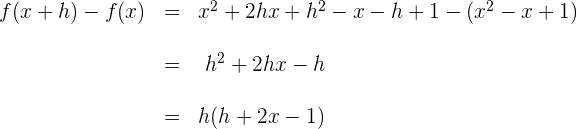
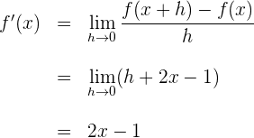
Ejemplo 1: Determinar la derivada de
empleando la definición con límites.
Para encontrar la derivada llevamos a cabo los cuatro pasos
1 Calcular 

2 Hallar la diferencia 

3 Calcular el cociente 

4 Hallar el límite cuando
tiende a 

Ejemplo 2: Determinar la derivada de
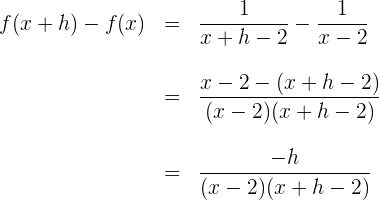
empleando la definición con límites.
Para encontrar la derivada llevamos a cabo los cuatro pasos
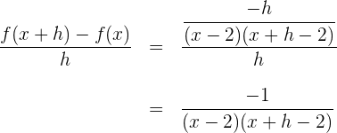
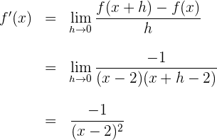
1 Calcular 

2 Hallar la diferencia 

3 Calcular el cociente 

4 Hallar el límite cuando
tiende a 

Derivada de las funciones a trozos
En las funciones definidas a trozos es necesario estudiar las derivadas laterales en los puntos de separación de los distintos trozos.
Si ambas derivadas laterales son distintas en el punto en cuestión, entonces la función no es derivable en dicho punto.
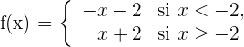
Ejemplo 1: Estudiar la derivabilidad de la función
.
1 Escribimos
como una función a trozos

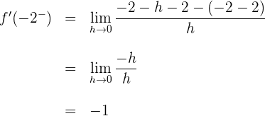
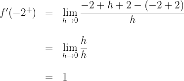
2 Calculamos las derivadas laterales en el punto de separación 


Puesto que las derivadas laterales en
son distintas, entonces la función no es derivable en dicho punto.

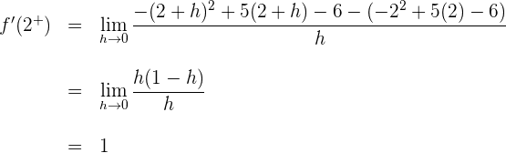
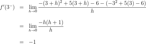
Ejemplo 2: Estudiar la derivabilidad de la función 
1 Calculamos las derivadas laterales en el punto de separación 


Puesto que las derivadas laterales en
son distintas, entonces la función no es derivable en dicho punto.

Ejemplo 3: Estudiar la derivabilidad de la función
.
1 Escribimos
como una función a trozos

2 Calculamos las derivadas laterales en el punto de separación 


Puesto que las derivadas laterales en
son distintas, entonces la función no es derivable en dicho punto.

Ejemplo 4: Estudiar la derivabilidad de la función
.
1 Escribimos
como una función a trozos

2 Calculamos las derivadas laterales en el punto de separación 


Puesto que las derivadas laterales en
son distintas, entonces la función no es derivable en dicho punto.
Calculamos las derivadas laterales en el punto de separación 


Puesto que las derivadas laterales en
son distintas, entonces la función no es derivable en dicho punto.

Resumir con IA:









Apuntes es una plataforma dirigida al estudio y la práctica de las matemáticas a través de la teoría y ejercicios interactivos que ponemos a vuestra disposición. Esta información está disponible para todo aquel/aquella que quiera profundizar en el aprendizaje de esta ciencia. Será un placer ayudaros en caso de que tengáis dudas frente algún problema, sin embargo, no realizamos un ejercicio que nos presentéis de 0 sin que hayáis si quiera intentado resolverlo. Ánimo, todo esfuerzo tiene su recompensa.
cordial saludo sera que tu me puedes ayudar a resolver un ejercicio que es dada la función f(x)= X elevada a la 2/3 por entre paréntesis (xa la 2 -8) hallar los valores de X para los cuales esta crece te lo agradecería mucho
La descripcion es erronea donde da la derivada de arcocotangente, ya que dice derivada de arcotangete, se comieron el co, lo que puede llevar a confunciones, como en mi caso que pense que era la derivada de la inversa de tangente, cuando era la derivada de la inversa de cotangente.
Hola entendemos la confusión, pero como sabes en cada lugar toman la notación en forma diferente, en este caso se tomo arccot(x) donde se repite la c para diferenciar de arctan(x).
me pueden ayudar encontrar la derivada de : y=7 elevado a la 4 + e elevado a la x-4 – ln X + 100
Medio tarde me parece mi respuesta, pero simplemente tenes que derivar cada termino independientemente:
7^4=(7.4)^3
e^x-4=e^x-4 (por formula)
lnx=1/x
100=0 (Derivando una constante en terminos de x)
Excelente contenido. Creo es posible mejorar el contenido para que sea más didáctico con más ejemplos, partiendo de lo elemental a lo complejo, para que el texto pueda ser más entendible para estudiantes de secundaria en Costa Rica.
Excelente artículo y muy dinámico.
Agradecemos tu comentario, la verdad estamos trabajando mucho para lograr tener las mejores explicaciones para que sea mas entendible al publico y para ello lo que ustedes recomienden nos ayuda en gran forma, esperamos que en un futuro seamos mejores siguiendo sus sugerencias, otra vez gracias.
Hola podrías hacernos el favor de mostrarnos la función para dar una mejor explicación.