Capítulos
¿Que es la regla de la cadena?
Muy seguido, aparecen funciones que presentan una estructura más elaborada y que se deben derivar, donde una derivación directa no es posible con las fórmulas habituales.
Por esta razón resulta útil conocer más herramientas y darnos cuenta de la forma en que ya es posible ir derivando a las funciones mencionadas.
Cuando nos referimos a funciones más elaboradas, hablamos de funciones que se construyen de la composición de otras dos.
Veamos, si tenemos a estas dos funciones
entonces podemos crear a una nueva función usando composición
y con esto preguntarnos ¿cuál es la derivada de la nueva función ?
Para responder esta pregunta, necesitamos utilizar la siguiente fórmula
Fórmula de la regla de la cadena
¿Cómo derivamos con la regla de la cadena?
La regla de la cadena, nos permite conocer la derivada de una función compuesta, utilizando las derivadas de las funciones que la componen, el proceso de derivación es muy simple y lo podemos efectuar siguiendo los siguientes pasos (utilicemos como referencia a la función mencionada):
- Si debemos derivar a la función
, que se construye de la composición de otras dos funciones
, lo primero que debemos hacer es identificar tanto a
como a
- Una vez identificadas a las funciones, debemos derivar a
- Al resultado de la derivada de
, lo debemos evaluar con
- Ahora derivemos a
- Finalmente multipliquemos a los dos resultados para tener a la derivada de
Con este proceso ya podemos tener a la derivada deseada. Es importante mencionar que con más práctica es posible efectuar el procedimiento de manera más rápida, una vez identificados los pasos a seguir claro.
Ejemplos de ejercicios usando la regla de la cadena
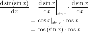
1 Derivar a la función
Sigamos el proceso:
- Identifiquemos a las funciones
,
- Derivemos a
- Evaluemos el resultado con
- Derivemos a
- Multipliquemos ambos resultados
y con este proceso ya tenemos a la derivada de la función .
Es importante mencionar, que existen ocasiones donde no solamente hay una composición, sino que puede haber varias, en ese caso la regla de la cadena sigue siendo válida, solamente que ahora la aplicamos varias veces hasta que terminemos de derivar.
El proceso también, lo desarrollaremos de manera directa sin mencionar los pasos en específico, el propósito es adquirir mayor habilidad para su manejo.
2 Derivar a la función



y entonces ya tenemos a la derivada de la función
observe que en el proceso de derivación se fueron aplicando los pasos que se encuentran desglozados al principio.
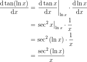
3 Derivar a la función
Identificamos a las funciones , y
, como observamos ahora será menos complicado por lo simple de sus derivadas, veamos el desarrollo:
llegando al resultado buscado.
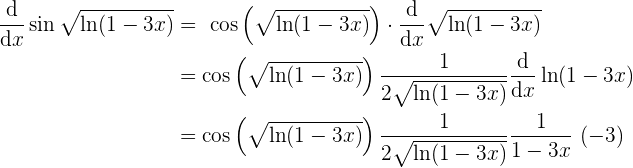
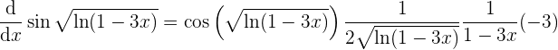
4 Derivar a la función
Aquí observamos que existe mas de una composición, para poder derivar a la función, lo que haremos será aplicar la regla de la cadena en diversas ocasiones hasta terminar de derivar.
Comencemos suponiendo que y
, entonces apliquemos la regla de la cadena

nos damos cuenta con esto, que ahora es necesario aplicar la regla de la cadena para
así que hagámoslo y posteriormente agregamos el resultado a la derivada original

llevándonos así, a que ahora debemos aplicar regla de la cadena nuevamente

y entonces ya con esto podemos juntar todos los resultados

para que de esta forma ya podamos concluir que

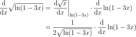
5 Derivar a la función
Nuevamente, identificamos a las funciones y
, para que de esta manera nos sea posible aplicar la regla de la cadena

donde ahora podemos concluir que
Apuntes es una plataforma dirigida al estudio y la práctica de las matemáticas a través de la teoría y ejercicios interactivos que ponemos a vuestra disposición. Esta información está disponible para todo aquel/aquella que quiera profundizar en el aprendizaje de esta ciencia. Será un placer ayudaros en caso de que tengáis dudas frente algún problema, sin embargo, no realizamos un ejercicio que nos presentéis de 0 sin que hayáis si quiera intentado resolverlo. Ánimo, todo esfuerzo tiene su recompensa.
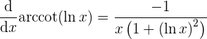
La descripcion es erronea donde da la derivada de arcocotangente, ya que dice derivada de arcotangete, se comieron el co, lo que puede llevar a confunciones, como en mi caso que pense que era la derivada de la inversa de tangente, cuando era la derivada de la inversa de cotangente.
Hola entendemos la confusión, pero como sabes en cada lugar toman la notación en forma diferente, en este caso se tomo arccot(x) donde se repite la c para diferenciar de arctan(x).
me pueden ayudar encontrar la derivada de : y=7 elevado a la 4 + e elevado a la x-4 – ln X + 100
Medio tarde me parece mi respuesta, pero simplemente tenes que derivar cada termino independientemente:
7^4=(7.4)^3
e^x-4=e^x-4 (por formula)
lnx=1/x
100=0 (Derivando una constante en terminos de x)
Excelente contenido. Creo es posible mejorar el contenido para que sea más didáctico con más ejemplos, partiendo de lo elemental a lo complejo, para que el texto pueda ser más entendible para estudiantes de secundaria en Costa Rica.
Excelente artículo y muy dinámico.
Agradecemos tu comentario, la verdad estamos trabajando mucho para lograr tener las mejores explicaciones para que sea mas entendible al publico y para ello lo que ustedes recomienden nos ayuda en gran forma, esperamos que en un futuro seamos mejores siguiendo sus sugerencias, otra vez gracias.
Hola: El últipo ejercicio de aplicación me parece que es incorrecto ya que no está obteniendo la derivada del volumen del cono
Hola si te refieres al triángulo que gira, si se derivo el volumen, si estoy equivocado por favor indícamelo.