Capítulos
Puntos de inflexión
Los puntos de inflexión de una función son aquellos puntos en los que la gráfica de la función cambia de concavidad, es decir, pasa de cóncava a convexa o viceversa. Informalmente hablando, podemos decir que es el momento en que la función cambia de tendencia.

Encontrar los puntos de inflexión por medio del criterio de la tercera derivada
Para encontrar los puntos de inflexión de una función derivable
por medio del criterio de la tercera derivada realizamos los siguientes pasos.
1 Encontramos la primera derivada de
:
.
2 Hallamos la segunda derivada de
e igualamos a cero:
.
3 Despejamos la variable independiente "
" y encontramos los valores para los que se cumple la condición. Es decir, buscamos los
tales que
con
.
4 Hallamos la tercera derivada de
:
.
5 Sustituimos los
en la tercera derivada y si
entonces se tiene un punto de inflexión en
.
¿Buscas clases de matematicas a domicilio? ¡Están en Superprof!
Ejemplo: cálculo de puntos de inflexión utilizando el criterio de la tercera derivada.
Calcular los puntos de inflexión de:

Solución:
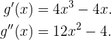
1 Encontramos la primera derivada de
:

2 Hallamos la segunda derivada de
e igualamos a cero:

3 Encontramos las raíces de
. Notemos que
es decir,
es raíz de
.
4 Hallamos la tercera derivada de
:

5 Sustituimos
en la tercera derivada:

Dado que
tendremos que
punto de inflexión, donde
Esto es, el punto
es un punto de inflexión.
Cálculo de puntos de inflexión conociendo intervalos de concavidad y convexidad
Calculemos los puntos de inflexión de las siguientes funciones considerando los intervalos en los que es cóncava y en los que es convexa .
1 
Solución:
Comenzamos analizando el dominio de la función. Notemos que
no está definida cuando el denominador se hace cero, por lo que debemos descartar los valores que anulen el denominador,

por tanto
.
Continuemos calculando la primera y segunda derivada de
para encontrar posibles puntos de inflexión,

Igualamos la segunda derivada igual a cero:

Por lo tanto tenemos que un posible punto de inflexión es en 
Ahora bien, hay una propiedad de la segunda derivada que nos dice que si la segunda derivada de
es positiva en un intervalo entonces
es convexa en ese intervalo y similarmente si la segunda derivada de
es negativa en un intervalo entonces
es cóncava en ese intervalo . Tomando esto en cuenta, revisamos los signos al segmentar el dominio:
- Si

- Si

- Si
.
Luego, la función es cóncava en el intervalo
y convexa en
. Así, como la función pasa de cóncava a convexa en el punto
, entonces podemos afirmar que el punto
es un punto de inflexión. Esto es, en el punto
.

Solución:
. Calculamos la primera y segunda derivada
Ahora bien, tenemos que - Si
, - Si
, y - Si
,
Similar al ejercio anterior esto nos dice que
cambia de convexa a cóncava en
y de cóncava a convexa en
. Por lo que podemos concluir que sus puntos de inflexión son:
, es decir, en el punto 
, es decir, en el punto 

Problemas de puntos de inflexión
1 Obtener la ecuación de la recta tangente a la gráfica de
en su punto de inflexión.
Solución:
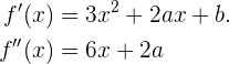
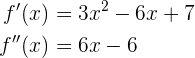
Encontraremos primeramente el punto de inflexión de
, para esto empezamos calculando primera y segunda derivada de
:

Igualamos segunda derivada a cero y encontramos valor para el que se anula

Proseguimos calculando la tercera derivada de
y verificando que
no se anula en 
Puesto que
, entonces
punto de inflexión.
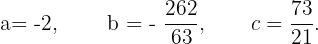
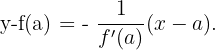
Ahora bien, encontraremos la ecuación de la recta tangente en el punto
, para esto utilizaremos la forma punto-pendiente de la recta

donde
punto de la recta y
pendiente de la recta.
La pendiente de la recta tangente en el punto
la encontramos con la primera derivada

Por tanto la ecuación de la recta tangente es


2 La curva
corta al eje de abscisas en
y tiene un punto de inflexión en
. Hallar
y
.
Solución:
Tenemos que
con derivadas

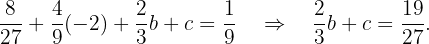
Ahora bien, sabemos que
corta al eje de las abscisas en
entonces

También sabemos que el punto de inflexión es en
por lo que la segunda derivada debe anularse en
y
, es decir,

De (2) concluimos que
, y sustituyendo el valor de
en (1) y (3) tendremos que


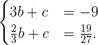
Obteniendo así un sistema de ecuaciones lineales
:

Resolvemos dicho sistema utilizando cualquier método de su preferencia y obtenemos que

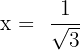
3 Determina las ecuaciones de la tangente y normal en su punto de inflexión a la curva:
.
Solución:
Procedemos similarmente al problema 1, pero esta vez considerando que la ecuación de la recta normal en un punto
es

Comenzamos buscando el punto de inflexión de
y para esto calculamos la primera y segunda derivada

Igualamos segunda derivada a cero y encontramos raíz

Calculamos tercera derivada y verificamos que no se anule en 

Entonces
punto de inflexión.
Ahora bien,
entonces
Recta tangente : 
Recta normal : 
4 Sea
. Hallar
y
de manera que la gráfica de la función
tenga para
un punto de inflexión, y cuya recta tangente en ese punto forme un ángulo de
con el eje 
Solución:
Empezamos calculando primera y segunda derivada

Puesto que queremos un ángulo de
con el eje
en el punto de inflexión se debe tener que

y además queremos un punto de inflexion en
entonces

Resolvemos el sistema de ecuaciones formado por (4) y (5), y obtenemos que

Resuelve todas tus dudas con un profesor mates.
Resumir con IA:









Apuntes es una plataforma dirigida al estudio y la práctica de las matemáticas a través de la teoría y ejercicios interactivos que ponemos a vuestra disposición. Esta información está disponible para todo aquel/aquella que quiera profundizar en el aprendizaje de esta ciencia. Será un placer ayudaros en caso de que tengáis dudas frente algún problema, sin embargo, no realizamos un ejercicio que nos presentéis de 0 sin que hayáis si quiera intentado resolverlo. Ánimo, todo esfuerzo tiene su recompensa.
cordial saludo sera que tu me puedes ayudar a resolver un ejercicio que es dada la función f(x)= X elevada a la 2/3 por entre paréntesis (xa la 2 -8) hallar los valores de X para los cuales esta crece te lo agradecería mucho
La descripcion es erronea donde da la derivada de arcocotangente, ya que dice derivada de arcotangete, se comieron el co, lo que puede llevar a confunciones, como en mi caso que pense que era la derivada de la inversa de tangente, cuando era la derivada de la inversa de cotangente.
Hola entendemos la confusión, pero como sabes en cada lugar toman la notación en forma diferente, en este caso se tomo arccot(x) donde se repite la c para diferenciar de arctan(x).
me pueden ayudar encontrar la derivada de : y=7 elevado a la 4 + e elevado a la x-4 – ln X + 100
Medio tarde me parece mi respuesta, pero simplemente tenes que derivar cada termino independientemente:
7^4=(7.4)^3
e^x-4=e^x-4 (por formula)
lnx=1/x
100=0 (Derivando una constante en terminos de x)
Excelente contenido. Creo es posible mejorar el contenido para que sea más didáctico con más ejemplos, partiendo de lo elemental a lo complejo, para que el texto pueda ser más entendible para estudiantes de secundaria en Costa Rica.
Excelente artículo y muy dinámico.
Agradecemos tu comentario, la verdad estamos trabajando mucho para lograr tener las mejores explicaciones para que sea mas entendible al publico y para ello lo que ustedes recomienden nos ayuda en gran forma, esperamos que en un futuro seamos mejores siguiendo sus sugerencias, otra vez gracias.
Hola podrías hacernos el favor de mostrarnos la función para dar una mejor explicación.