Si f(x) es una función derivable, la diferencial de una función correspondiente al incremento h de la variable independiente, es el producto f'(x) · h.
La diferencial de una función se representa por dy.


Interpretación geométrica



La diferencial en un punto representa el incremento de la ordenada de la tangente, correspondiente a un incremento de la variable.
Ejercicios de diferenciales
1Obtén el diferencial de 
Obtén el diferencial de 
1 Obtenemos la derivada de la función y añadimos los diferenciales en ambos lados de la igualdad


2Obtén el diferencial de 
Obtén el diferencial de 
1 Obtenemos la derivada de la función y añadimos los diferenciales en ambos lados de la igualdad


3Obtén el diferencial de 
Obtén el diferencial de 
1 Obtenemos la derivada de la función y añadimos los diferenciales en ambos lados de la igualdad





Problemas de aplicación
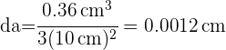
4 Hallar el incremento del área de una circunferencia de 3cm de radio cuando su radio se incrementa en 0.5cm
Hallar el incremento del área de una circunferencia de 3cm de radio cuando su radio se incrementa en 0.5cm
1 Sabemos que la relación entre el área y el radio de una circunferencia es:

2 Calculamos el diferencial del Volumen y el Radio

3 Sustituimos r=3 cm y dr=0.5 cm

5 Un cono de 5 m de altura y 3 m de radio en la base incrementa su radio en 0.25 m manteniendo su altura constante. Calcula el incremento en su volumen
Un cono de 5 m de altura y 3 m de radio en la base incrementa su radio en 0.25 m manteniendo su altura constante. Calcula el incremento en su volumen
1 Sabemos que el volumen de un cono esta dado por:

2 Calculamos el diferencial del Volumen y el Radio

3 Sustituimos r=3 m. h=5 m y dr=0.25 m

6 Un cubo tiene aristas de 10 cm ¿En cuánto debería incrementarse la arista para que su volumen se incremente en
?
Un cubo tiene aristas de 10 cm ¿En cuánto debería incrementarse la arista para que su volumen se incremente en
?
1 Sabemos que el volumen de un cubo esta dado por:

2 Calculamos el diferencial del Volumen y la arista

3 Despejamos da

4 Sustituimos
y 

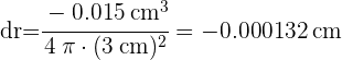
7Una esfera de metal disminuye su volumen en
al enfriarse. Si originalmente su radio era de 3 cm. Calcula el decremento en su radio.
Una esfera de metal disminuye su volumen en
al enfriarse. Si originalmente su radio era de 3 cm. Calcula el decremento en su radio.
1 Sabemos que el volumen de una esfera esta dado por:

2 Calculamos el diferencial del Volumen y el radio

3 Despejamos dr

4 Sustituimos
y 

8Al inflar un globo esférico el radio se incrementa en 0.0035 cm en un soplido cuando éste media 4cm. ¿En cuánto se incrementó el volumen?
Al inflar un globo esférico el radio se incrementa en 0.0035 cm en un soplido cuando éste media 4cm. ¿En cuánto se incrementó el volumen?
1 Sabemos que el volumen de una esfera esta dado por:

2 Calculamos el diferencial del Volumen y el Radio

3 Sustituimos r=4 cm y dr=0.0035 cm

9¿En cuánto incrementa el valor de 'y' cuando el valor de 'x' incrementa en 0.45 unidades en la función
cuando x=5?
1 Calculamos el diferencial de la función 

2 Sustituimos
y 

10¿En cuánto se incrementa el volumen de un cono con 4 cm de altura y 2 cm de radio si se mantiene su base constante y su altura se incrementa en 0.75 cm?
¿En cuánto se incrementa el volumen de un cono con 4 cm de altura y 2 cm de radio si se mantiene su base constante y su altura se incrementa en 0.75 cm?
1 Sabemos que el volumen de un cono esta dado por:

2 Calculamos el diferencial tomando en cuenta que el radio se mantiene constante

3 Sustituimos r=2 cm y dh=0.75 cm










Apuntes es una plataforma dirigida al estudio y la práctica de las matemáticas a través de la teoría y ejercicios interactivos que ponemos a vuestra disposición. Esta información está disponible para todo aquel/aquella que quiera profundizar en el aprendizaje de esta ciencia. Será un placer ayudaros en caso de que tengáis dudas frente algún problema, sin embargo, no realizamos un ejercicio que nos presentéis de 0 sin que hayáis si quiera intentado resolverlo. Ánimo, todo esfuerzo tiene su recompensa.
La descripcion es erronea donde da la derivada de arcocotangente, ya que dice derivada de arcotangete, se comieron el co, lo que puede llevar a confunciones, como en mi caso que pense que era la derivada de la inversa de tangente, cuando era la derivada de la inversa de cotangente.
Hola entendemos la confusión, pero como sabes en cada lugar toman la notación en forma diferente, en este caso se tomo arccot(x) donde se repite la c para diferenciar de arctan(x).
me pueden ayudar encontrar la derivada de : y=7 elevado a la 4 + e elevado a la x-4 – ln X + 100
Medio tarde me parece mi respuesta, pero simplemente tenes que derivar cada termino independientemente:
7^4=(7.4)^3
e^x-4=e^x-4 (por formula)
lnx=1/x
100=0 (Derivando una constante en terminos de x)
Excelente contenido. Creo es posible mejorar el contenido para que sea más didáctico con más ejemplos, partiendo de lo elemental a lo complejo, para que el texto pueda ser más entendible para estudiantes de secundaria en Costa Rica.
Excelente artículo y muy dinámico.
Agradecemos tu comentario, la verdad estamos trabajando mucho para lograr tener las mejores explicaciones para que sea mas entendible al publico y para ello lo que ustedes recomienden nos ayuda en gran forma, esperamos que en un futuro seamos mejores siguiendo sus sugerencias, otra vez gracias.
Hola: El últipo ejercicio de aplicación me parece que es incorrecto ya que no está obteniendo la derivada del volumen del cono
Hola si te refieres al triángulo que gira, si se derivo el volumen, si estoy equivocado por favor indícamelo.